| 查看: 1366 | 回复: 2 | ||
生化龙木虫 (正式写手)
|
[求助]
I-T曲线的积分问题
|
|
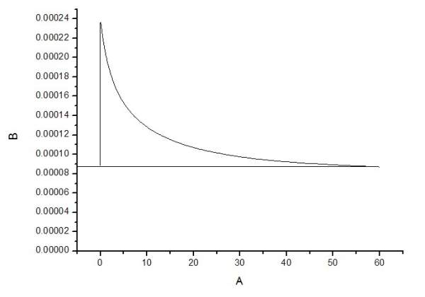
我想请教各位下面一个问题,就是做出来的I-T曲线,积分的时候,是以X轴和I-T曲线形成闭合曲线积分,还是像我图片中那样求其积分面积。谢谢各位~~~~ F~[E8D~FYJ4E%S8PX`J_CSU.jpg |
» 猜你喜欢
关于碳量子点抗菌的研究
已经有15人回复
南大化学调剂
已经有11人回复
物理化学论文润色/翻译怎么收费?
已经有148人回复
硫酸钠溶液浓度与密度曲线
已经有0人回复
0703调剂
已经有2人回复
1
已经有20人回复
0703 调剂
已经有5人回复
招收
已经有0人回复
西南某211招27届博士
已经有29人回复
大连工业杰青/长江团队-生物质材料-储能电池方向招收2026级博士生
已经有0人回复
» 本主题相关价值贴推荐,对您同样有帮助:
写点自己看曲线和曲面积分的小感想
已经有5人回复
光电流测试I-T曲线测试原理
已经有11人回复
测Amperometric i-t曲线时怎样不断加入葡萄糖溶液
已经有3人回复
请教有关葡萄糖传感i-t曲线,浓度线性范围的问题
已经有6人回复
无酶葡萄糖传感器之i-t曲线
已经有8人回复
i-t曲线
已经有8人回复
恒电位沉积法
已经有10人回复
i-t曲线异常现象怎么解决
已经有6人回复
i-t曲线如何设置
已经有8人回复
悬赏100金币 求对曲线的面积积分。opus软件的操作。
已经有14人回复
怎样在origin里求CV闭合曲线的积分,以及怎样根据CV曲线求算电容?谢谢啦
已经有12人回复
散金币 求电化学I-T曲线中的灵敏度如何计算
已经有9人回复
求助可以积分曲线面积的软件
已经有7人回复
【求助】i-t曲线的形状不好
已经有3人回复
【讨论】请教关于i-t曲线
已经有6人回复
【讨论】origin 8如何对曲线进行积分啊?
已经有2人回复

gzl9901
铁杆木虫 (文坛精英)
very good
- 应助: 3 (幼儿园)
- 金币: 6279.5
- 红花: 28
- 沙发: 2
- 帖子: 11263
- 在线: 1769.2小时
- 虫号: 1294464
- 注册: 2011-05-13
- 专业: 计算机软件

2楼2013-06-14 17:57:25
hlwen10s
金虫 (著名写手)
英国皇家学会fellow
- 应助: 138 (高中生)
- 金币: 1413.5
- 红花: 17
- 帖子: 1083
- 在线: 97.4小时
- 虫号: 1917532
- 注册: 2012-07-30
- 性别: MM
- 专业: 金属材料的磨损与磨蚀

3楼2013-06-14 19:55:20













回复此楼