| ²é¿´: 1338 | »Ø¸´: 5 | ||
hzsw1229½ð³æ (СÓÐÃûÆø)
|
[ÇóÖú]
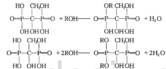
ôÇ»ùÒÒ²æ¶þì¢ËáÒìÐÁõ¥£¨HEDPõ¥£¬°üÀ¨Ë«õ¥£¬µ¥õ¥£©ÈÝÒ×Ë®½âÂð
|
|
ôÇ»ùÒÒ²æ¶þì¢ËáÒìÐÁõ¥£¨HEDPõ¥£¬°üÀ¨Ë«õ¥£¬µ¥õ¥£©ÈÝÒ×Ë®½âÂð °üÀ¨¼îÐÔÌõ¼þºÍ·Ç¼îÐÔÌõ¼þ£¬Á½ÖÖÇé¿ö£¬¼±Ðè°ïÖú£¡ HEDPõ¥.png |
» ²ÂÄãϲ»¶
Ò»Ö¾Ô¸»ªÖÐũ΢ÉúÎ288·Ö£¬ÈýÄêʵÑé¾Àú
ÒѾÓÐ7È˻ظ´
269Çóµ÷¼Á
ÒѾÓÐ3È˻ظ´
268·Ö085602»¯Ñ§¹¤³Ìµ÷¼Á
ÒѾÓÐ16È˻ظ´
071000ÉúÎïѧµ÷¼ÁÇóÖú
ÒѾÓÐ4È˻ظ´
296Çóµ÷¼Á
ÒѾÓÐ5È˻ظ´
Çóµ÷¼Á
ÒѾÓÐ3È˻ظ´
297Çóµ÷¼Á
ÒѾÓÐ25È˻ظ´
Ò»Ö¾Ô¸Öйú¿ÆÑ§ÔºÉϺ£ÓлúËù£¬Óлú»¯Ñ§356·ÖÕÒµ÷¼Á
ÒѾÓÐ10È˻ظ´
367Çóµ÷¼Á
ÒѾÓÐ9È˻ظ´
086003µ÷¼ÁÇóÖú
ÒѾÓÐ17È˻ظ´
» ±¾Ö÷ÌâÏà¹Ø¼ÛÖµÌùÍÆ¼ö£¬¶ÔÄúͬÑùÓаïÖú:
¸ÖÌú³ýÐâÒºÅä·½
ÒѾÓÐ51È˻ظ´
²¿·Ö³£ÓÃÓлúÎïËõд
ÒѾÓÐ16È˻ظ´
¡¾×ÊÔ´¡¿»¯Ñ§ÊÔ¼ÁÓ¢ÎÄËõд£¨ºÜÈ«µÄ£©
ÒѾÓÐ30È˻ظ´
¡¾ÇóÖú¡¿H2O2µÄÎȶ¨¼ÁÓÐÄļ¸ÖÖ
ÒѾÓÐ4È˻ظ´
¡¾×ÊÔ´¡¿»¯Ñ§ÊÔ¼ÁÓ¢ÎÄËõд
ÒѾÓÐ17È˻ظ´

gurong
Ìú³æ (ÕýʽдÊÖ)
- FC-EPI: 4
- Ó¦Öú: 26 (СѧÉú)
- ½ð±Ò: 16.4
- É¢½ð: 674
- ºì»¨: 3
- Ìû×Ó: 482
- ÔÚÏß: 116.7Сʱ
- ³æºÅ: 800772
- ×¢²á: 2009-06-29
- ÐÔ±ð: GG
- רҵ: Óлú·ÖÎö
2Â¥2013-06-03 09:43:35
tianweibao
½ð³æ (ÕýʽдÊÖ)
- Ó¦Öú: 161 (¸ßÖÐÉú)
- ½ð±Ò: 743.5
- ºì»¨: 2
- Ìû×Ó: 347
- ÔÚÏß: 38Сʱ
- ³æºÅ: 2429980
- ×¢²á: 2013-04-22
- ÐÔ±ð: GG
- רҵ: ÓлúºÏ³É
3Â¥2013-06-03 13:16:07
zhoupeng87
°æÖ÷ (ÎÄѧ̩¶·)
- FC-EPI: 2
- Ó¦Öú: 6148 (¸±½ÌÊÚ)
- ¹ó±ö: 8.516
- ½ð±Ò: 47410.3
- É¢½ð: 58001
- ºì»¨: 566
- ɳ·¢: 2391
- Ìû×Ó: 64964
- ÔÚÏß: 9636.5Сʱ
- ³æºÅ: 962700
- ×¢²á: 2010-03-06
- ÐÔ±ð: GG
- רҵ: ÎÞ»ú²ÄÁÏ»¯Ñ§
- ¹ÜϽ: ¾«Ï¸»¯¹¤
4Â¥2013-06-03 13:22:57
hzsw1229
½ð³æ (СÓÐÃûÆø)
- Ó¦Öú: 0 (Ó×¶ùÔ°)
- ½ð±Ò: 189.5
- É¢½ð: 236
- ºì»¨: 2
- Ìû×Ó: 159
- ÔÚÏß: 191.1Сʱ
- ³æºÅ: 967886
- ×¢²á: 2010-03-11
- ÐÔ±ð: GG
- רҵ: ÓлúºÏ³É

5Â¥2013-06-04 09:36:46
zhoupeng87
°æÖ÷ (ÎÄѧ̩¶·)
- FC-EPI: 2
- Ó¦Öú: 6148 (¸±½ÌÊÚ)
- ¹ó±ö: 8.516
- ½ð±Ò: 47410.3
- É¢½ð: 58001
- ºì»¨: 566
- ɳ·¢: 2391
- Ìû×Ó: 64964
- ÔÚÏß: 9636.5Сʱ
- ³æºÅ: 962700
- ×¢²á: 2010-03-06
- ÐÔ±ð: GG
- רҵ: ÎÞ»ú²ÄÁÏ»¯Ñ§
- ¹ÜϽ: ¾«Ï¸»¯¹¤
6Â¥2013-06-04 10:19:57













»Ø¸´´ËÂ¥