24小时热门版块排行榜    

北京石油化工学院2026年研究生招生接收调剂公告
查看: 2999  |  回复: 1

齐琪齐

主管区长

优秀!!有木有!!!优秀!!有木有!!!优秀!!有木有!!!优秀!!有木有!!!

[求助] 求助一个硼氢化钠选择性还原双键的反应机理

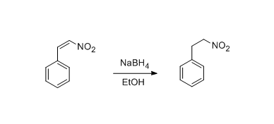
求助一个硼氢化钠选择性还原双键的反应机理。最近在做一个反应,如图。用硼氢化钠在醇做溶剂的前提下选择性还原硝基乙烯基苯的烯键。希望高手给解释下反应机理,再画一个反应机理图。谢谢了。
求助一个硼氢化钠选择性还原双键的反应机理
1.png
回复此楼

» 猜你喜欢

» 本主题相关价值贴推荐,对您同样有帮助:

已阅   回复此楼   关注TA 给TA发消息 送TA红花 TA的回帖

齐琪齐

超级版主

优秀!!有木有!!!优秀!!有木有!!!优秀!!有木有!!!优秀!!有木有!!!

求大神出现!!!!
2楼2013-06-01 21:56:27
已阅   回复此楼   关注TA 给TA发消息 送TA红花 TA的回帖
相关版块跳转 我要订阅楼主 齐琪齐 的主题更新
最具人气热帖推荐 [查看全部] 作者 回/看 最后发表
[考研] 291求调剂 +3 迷蒙木木 2026-04-01 4/200 2026-04-01 11:07 by 逆水乘风
[考研] 求0861交通运输专硕or材料专硕调剂 +4 勒布朗@ 2026-03-31 4/200 2026-04-01 09:54 by 一只好果子?
[考研] 一志愿 南京航空航天大学 ,080500材料科学与工程学硕 +10 @taotao 2026-03-31 11/550 2026-04-01 09:43 by xiayizhi
[考研] 土木304求调剂 +3 兔突突突, 2026-03-31 3/150 2026-04-01 09:42 by JourneyLucky
[考研] 085600,材料与化工321分,求调剂 +10 大馋小子 2026-03-27 10/500 2026-04-01 09:27 by oooqiao
[考研] 282求调剂 +6 呼吸都是减肥 2026-04-01 6/300 2026-04-01 08:58 by laoshidan
[考研] 一志愿中国科学院大学265求调剂 +7 恬淡ye 2026-03-31 8/400 2026-04-01 08:38 by JourneyLucky
[考研] 求调剂 +9 akdhjs 2026-03-31 10/500 2026-03-31 17:14 by zhyzzh
[考研] 317求调剂 +12 蛋黄咸肉粽 2026-03-26 13/650 2026-03-31 16:44 by asdfzly
[考研] 340求调剂 +4 希望如此i 2026-03-31 4/200 2026-03-31 16:40 by 690616278
[考研] 一志愿西电085401数一英一299求调剂 六级521 +4 爱吃大鸭梨 2026-03-31 4/200 2026-03-31 11:51 by 搏击518
[考博] 材料专业申博 +5 杜雨婷dyt 2026-03-29 5/250 2026-03-31 11:19 by oooqiao
[考研] 本科211总分289,08工学真心求调剂 +3 utopiaE 2026-03-30 3/150 2026-03-30 23:42 by ms629
[考研] 考研调剂 +5 Sanmu-124 2026-03-26 5/250 2026-03-30 13:36 by chemdavid
[考研] 求调剂 +10 张zz111 2026-03-27 11/550 2026-03-30 09:17 by 无际的草原
[考研] 305求调剂 +8 RuiFairyrui 2026-03-28 8/400 2026-03-29 08:22 by fmesaito
[考研] 本科新能源科学与工程,一志愿华理能动285求调剂 +3 AZMK 2026-03-27 5/250 2026-03-28 16:19 by xxxsssccc
[硕博家园] 北京林业大学硕导招生广告 +6 kongweilin 2026-03-26 8/400 2026-03-27 10:18 by FF_16
[考研] 085602化学工程求调剂。 +4 平乐乐乐 2026-03-26 4/200 2026-03-26 17:57 by fmesaito
[考研] 打过很多竞赛,085406控制工程300分,求调剂 +3 askeladz 2026-03-26 3/150 2026-03-26 09:08 by 给你你注意休息
信息提示
请填处理意见