| 查看: 1142 | 回复: 8 | |||
Huojing金虫 (小有名气)
|
[求助]
电导率问题
|
||
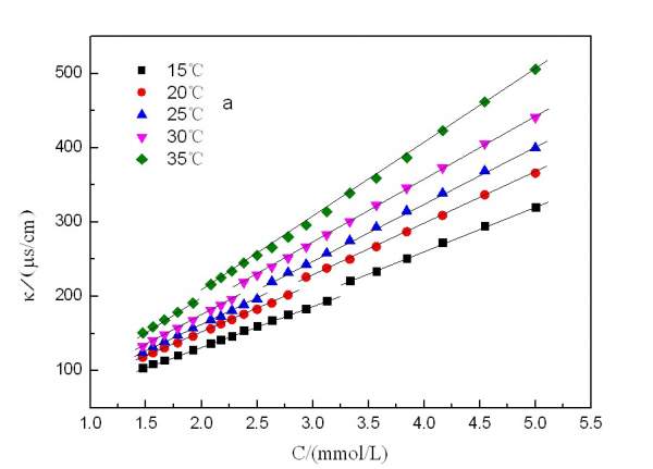
![]() |
|||
|
|
|||
jiagle专家顾问 (知名作家)
|
|||
|
2楼2013-05-29 16:49:02
|
|
||
sddtc888至尊木虫 (著名写手)
Hψ=Eψ S=klnΩ dS≥δQ/T
|
【答案】应助回帖
★ ★ ★ ★ ★
感谢参与,应助指数 +1 Huojing: 金币+2, ★有帮助, 谢谢,那个突跃点我验证过了,是临界胶束浓度点,只是曲线跟正常的电导率曲线不一样,而且没见过文献中有类似的情况 2013-05-29 22:21:24 fds329: 金币+2, 感谢应助。辛苦了O(∩_∩)O 2013-06-01 14:51:08 fds329: 金币+1 2013-06-01 14:51:35
|
||
![]() |
|||
|
3楼2013-05-29 20:22:22
|
|
||
【答案】应助回帖
★ ★ ★ ★ ★ ★ ★
感谢参与,应助指数 +1 Huojing: 金币+5, ★有帮助 2013-05-29 22:26:35 fds329: 金币+2, 感谢应助。辛苦了O(∩_∩)O 2013-06-01 14:51:27
|
|||
|
4楼2013-05-29 22:25:47
|
|
||
Huojing金虫 (小有名气)
|
|||
![]() |
|||
|
5楼2013-05-29 22:25:55
|
|
||
蔡波木虫 (小有名气)
|
|||
|
6楼2013-05-30 16:31:42
|
|
||
傻子也幽默木虫 (著名写手)
|
|||
![]() |
|||
|
7楼2013-06-01 11:23:21
|
|
||
|
8楼2013-06-03 16:11:04
|
|
||
jieyao60新虫 (初入文坛)
|
|||
|
9楼2014-02-13 10:32:45
|
|














回复此楼

神哈哈哈哈哈