| 查看: 1070 | 回复: 5 | ||
qinglongge至尊木虫 (著名写手)
|
[求助]
有关Lemaitre 的非线性疲劳损伤累计定律中参数的求法(在线等!!!)
|
|
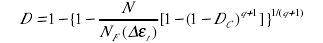
小虫最近在分析低周疲劳数据,想通过Lemaitre 的非线性疲劳损伤公式计算损伤与寿命的关系,公式中的Dc我知道怎么求,但不知道q这个系数怎么通过试验数据求出,求大神指教!!!文献里说的比较简单,求具体说明一下,多谢!!! 1.jpg |
» 猜你喜欢
0703求调剂383分
已经有9人回复
求调剂
已经有8人回复
化学调剂求助
已经有7人回复
一志愿哈尔滨工业大学085600英一数二337分求调剂
已经有12人回复
085600,320分求调剂
已经有16人回复
一志愿211,化学学硕,310分,本科重点双非,求调剂
已经有12人回复
0703化学调剂325分
已经有10人回复
085600,321分求调剂
已经有12人回复
化学357分,考研调剂
已经有12人回复
一志愿南昌大学,085600,344分求调剂
已经有8人回复
» 本主题相关价值贴推荐,对您同样有帮助:
大爆炸理论和广义相对论的一个矛盾----时间计量
已经有0人回复
【资源】广义相对论(刘辽) 影印版 pdf格式 共501页
已经有8人回复

2楼2013-05-29 21:53:38
qinglongge
至尊木虫 (著名写手)
- 应助: 14 (小学生)
- 金币: 10757
- 散金: 28
- 红花: 5
- 帖子: 1276
- 在线: 119.8小时
- 虫号: 1427361
- 注册: 2011-10-04
- 性别: GG
- 专业: 金属结构材料
3楼2013-05-30 23:44:27

4楼2013-05-31 10:43:10
qinglongge
至尊木虫 (著名写手)
- 应助: 14 (小学生)
- 金币: 10757
- 散金: 28
- 红花: 5
- 帖子: 1276
- 在线: 119.8小时
- 虫号: 1427361
- 注册: 2011-10-04
- 性别: GG
- 专业: 金属结构材料
5楼2013-06-03 22:45:19
|
6楼2013-06-04 08:33:15














回复此楼
120