| 查看: 452 | 回复: 2 | ||
lipillar铁虫 (小有名气)
|
[求助]
求教电化学腐蚀,拜谢各位大神了!!
|
|
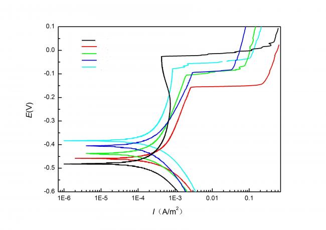
这是我做的一个电化学腐蚀后的图,各位帮我分析一下,有没有发生点蚀,哪个的耐蚀性最好,点蚀又是如何发生的??点蚀发生的机制是什么??可以随意指出一条曲线帮我详细分析一下,谢谢了!!急用!! ncl-4.jpg |
» 猜你喜欢
284求调剂
已经有10人回复
266求调剂
已经有20人回复
本科生物信息学,总分362 求07 08调剂
已经有3人回复
283求调剂
已经有13人回复
333求调剂
已经有5人回复
286求调剂
已经有16人回复
化学工程调剂289
已经有7人回复
297求调剂
已经有7人回复
312求调剂
已经有4人回复
085602化学工程268分蹲调剂
已经有9人回复
» 本主题相关价值贴推荐,对您同样有帮助:
小弟初接触电化学,想测金属极化曲线,有几点不明白,还望版上各位帮忙解答,拜谢
已经有4人回复
有什么办法可以简单确定甘汞电极的准确性吗?拜谢了!
已经有4人回复
付丙寅
木虫 (小有名气)
- 应助: 23 (小学生)
- 金币: 1705.1
- 散金: 123
- 红花: 9
- 帖子: 164
- 在线: 77.6小时
- 虫号: 1110970
- 注册: 2010-09-29
- 性别: GG
- 专业: 金属材料
2楼2013-05-22 09:58:17
lipillar
铁虫 (小有名气)
- 应助: 1 (幼儿园)
- 金币: 47.9
- 散金: 30
- 帖子: 153
- 在线: 77.8小时
- 虫号: 1433860
- 注册: 2011-10-09
- 性别: GG
- 专业: 凝聚态物性I:结构、力学和
3楼2013-05-22 10:23:20














回复此楼