| 查看: 518 | 回复: 2 | ||
[求助]
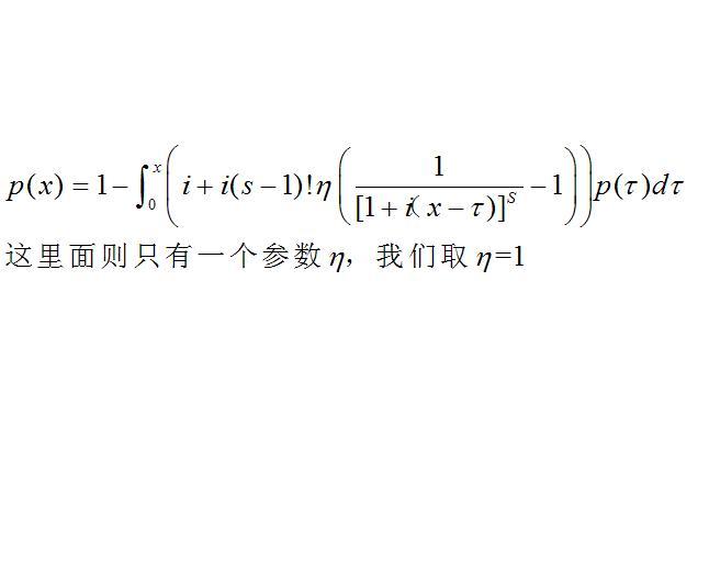
求助一道特殊的数值编程,采用梯形法或辛普森法
|
||
|
|
||
|
||
|
2楼2013-05-20 22:59:32
|
|
|
sciencejoy新虫 (著名写手)
|
||
|
3楼2013-05-21 18:36:52
|
|














回复此楼