| 查看: 459 | 回复: 0 | ||
[求助]
求Keller-Box Method计算方法和相关资料
|
|
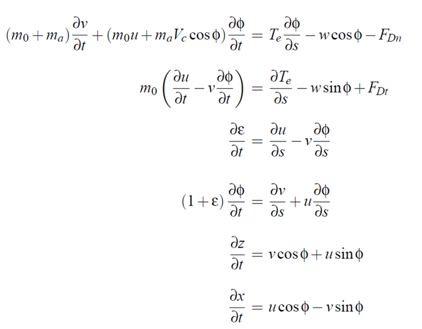
小弟是土木工程领域的,最近在做系统的动力学分析时想用有限差分法计算细长杆件的动力响应。其中的控制方程用简单的分离变量方法没法进行计算。能找到的现有文献中大多使用了Keller-Box Method的方法,但是小弟没法找到相关资料。所以来此求助~ 谢谢! 图片1.png |
» 猜你喜欢
AI 太可怕了,写基金时,提出想法,直接生成的文字比自己想得深远,还有科学性
已经有6人回复
有院领导为了换新车,用横向课题经费买了俩车
已经有9人回复
酰胺脱乙酰基
已经有13人回复
博士延得我,科研能力直往上蹿
已经有8人回复
同年申请2项不同项目,第1个项目里不写第2个项目的信息,可以吗
已经有4人回复
有时候真觉得大城市人没有县城人甚至个体户幸福
已经有10人回复
天津大学招2026.09的博士生,欢迎大家推荐交流(博导是本人)
已经有5人回复
遇见不省心的家人很难过
已经有22人回复













回复此楼
点击这里搜索更多相关资源