| 查看: 1462 | 回复: 0 | ||
wangzm111兑换贵宾
|
[求助]
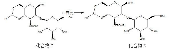
这个反应中TMSOTf能否用甲苯-4-磺酸替代?
|
|
将化合物7和苷元用甲苯带水三次,加入无水二氯甲烷中溶解,加入4A分子筛在氮气下搅拌30分钟。再于-15℃条件下加入NIS(N-溴代丁二酰亚胺),15分钟后加入TMSOTf(三甲硅基三氟甲磺酸脂),搅拌1小时。。。 1@Z$~A65]A7Y(5TH5`RR__O.jpg |
» 猜你喜欢
267求调剂
已经有13人回复
292求调剂
已经有3人回复
322求调剂
已经有8人回复
348求调剂
已经有7人回复
材料调剂
已经有5人回复
349求调剂
已经有4人回复
环境工程 085701,267求调剂
已经有16人回复
一志愿北交材料工程总分358
已经有5人回复
材料0856 英一数二 323 求调剂
已经有8人回复
318求调剂
已经有4人回复
» 本主题相关商家推荐: (我也要在这里推广)















回复此楼

点击这里搜索更多相关资源