| 查看: 2640 | 回复: 0 | ||
iyishuihan木虫 (小有名气)
|
[求助]
求助CTAB和PVP是如何与离子络合的
|
|
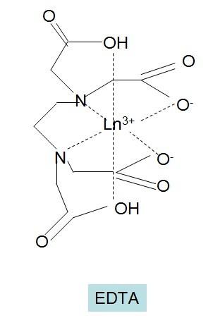
我给出的是EDTA与一个三价稀土离子进行络合的示意图。请问各位学化学的同学,CTAB和PVP与三价离子进行络合是什么样的方式呢?本人是学物理的,这个问题头疼了好久。希望有知道的大侠给个解答。金币不够我再追加,跪求!!! 未命名.jpg |
» 猜你喜欢
请问对标matlab的开源软件octave的网站https://octave.org为什么打不开?
已经有1人回复
求助两种BiOBr晶体的CIF文件(卡片号为JCPDS 09-0393与JCPDS 01-1004 )
已经有0人回复
无机化学论文润色/翻译怎么收费?
已经有247人回复
哈尔滨工程大学材化学院国家级青年人才-26年硕士招生
已经有0人回复
求助Fe-TCPP、Zn-TCPP的CIF文件,或者CCDC号
已经有0人回复
XPS/?λXPS
已经有0人回复
河北大学-26年秋季入学化学博士招生
已经有0人回复
找到一些相关的精华帖子,希望有用哦~
用CTAB法中含有的PVP提取叶子中的DNA?
已经有3人回复
在溶液中加入了表面活性剂CTAB出现粘稠状,搅拌时间长可以得到澄清溶液吗
已经有13人回复
介孔SiO2 离子交换去除CTAB洗多长时间呢?
已经有14人回复
科研从小木虫开始,人人为我,我为人人













回复此楼
点击这里搜索更多相关资源