版块导航
正在加载中...
客户端APP下载
论文辅导
申博辅导
登录
注册
帖子
帖子
用户
本版
应《网络安全法》要求,自2017年10月1日起,未进行实名认证将不得使用互联网跟帖服务。为保障您的帐号能够正常使用,请尽快对帐号进行手机号验证,感谢您的理解与支持!
24小时热门版块排行榜
>
论坛更新日志
(723)
>
虫友互识
(79)
>
论文道贺祈福
(40)
>
导师招生
(23)
>
考博
(21)
>
硕博家园
(17)
>
教师之家
(12)
>
基金申请
(11)
>
论文投稿
(10)
>
公派出国
(9)
>
考研
(8)
>
博后之家
(7)
>
招聘信息布告栏
(5)
>
文献求助
(4)
>
标准求助
(2)
>
标准与专利
(2)
小木虫论坛-学术科研互动平台
»
化学化工区
»
电化学
»
电分析测试
»
origin对极化曲线的拟合
5
2/1
返回列表
查看: 12573 | 回复: 61
只看楼主
@他人
存档
新回复提醒
(忽略)
收藏
在APP中查看
当前只显示满足指定条件的回帖,点击这里查看本话题的所有回帖
huangjinhua
金虫
(小有名气)
应助: 8
(幼儿园)
金币: 122.7
帖子: 206
在线: 70小时
虫号: 1303376
[交流]
origin对极化曲线的拟合
origin对极化曲线的拟合
回复此楼
» 本帖附件资源列表
欢迎监督和反馈:小木虫仅提供交流平台,不对该内容负责。
本内容由用户自主发布,如果其内容涉及到知识产权问题,其责任在于用户本人,如对版权有异议,请联系邮箱:xiaomuchong@tal.com
附件 1 :
呵呵.doc
2013-05-11 09:37:58, 216 K
» 猜你喜欢
海南师范大学2026年博士研究生招收 (在职想提升学历人员可报考) 申请考核制
已经有0人回复
锂离子电池循环寿命衰减过快,求机理分析与改进思路
已经有2人回复
分析化学论文润色/翻译怎么收费?
已经有199人回复
求博导收留
已经有6人回复
CSC & MSCA 博洛尼亚大学能源材料课题组博士/博士后招生|MSCA经费充足、排名优
已经有6人回复
德国Karlsruhe Institute of Technology招收电化学储能及联合培养CSC博士等
已经有20人回复
德国Karlsruhe Institute of Technology招收电化学储能及联合培养CSC博士
已经有22人回复
德国Karlsruhe Institute of Technology招收电化学储能及联合培养CSC博士
已经有1人回复
固态锂金属电池迁移数计算求助
已经有1人回复
荷兰奈梅亨大学赵文博与Galimberti课题组招收理论计算CSC博士 2000 欧元/月+房补
已经有0人回复
高级回复
» 抢金币啦!回帖就可以得到:
查看全部散金贴
供应爱德华RV 3、RV 12,阿特拉斯及莱宝真空品牌油泵及分子泵等真空产品15216851283
+
1
/84
香港科技大学(广州)黄加强课题组智能电池方向博士招聘
+
1
/82
广州大学“长江学者”教授团队2026年海内外高层次人才招聘(环境/化学/生物)
+
1
/79
欢迎报考南京农业大学植物环境适应课题组课题组2026级博士生。
+
1
/77
上海交通大学大气环境科学课题组招收2026年入学博士生
+
1
/34
上海交大药学院侯四化课题组招收2名2026年秋季入学申请-考核制博士生
+
1
/31
新加坡 南洋理工大学- 智能光子/ 传感 PHD 全奖一名 2026 - 8 月入学
+
1
/17
新加坡 南洋理工大学- 智能光子/ 传感 PHD 全奖一名 2026 - 8 月入学
+
1
/11
都放假了嘛?
+
1
/10
意大利华人老师University of Padova-全额奖学金博士
+
1
/9
德国Karlsruhe Institute of Technology招收电化学储能及联合培养CSC博士
+
1
/8
广东工业大学马琳教授课题组招收2026年博士(材料物理与化学、光学专业)
+
1
/6
2026年 陕西科技大学 环境学院 招收博士生(化学/材料/环境/生物 背景均可)
+
1
/5
哈工大(深圳)物理招收2026年9月入学博士生1个名额
+
1
/4
【经验分享】CRISPR基因敲除细胞系构建全流程踩坑指南——从递送方式选择到克隆筛选
+
1
/4
美国密苏里大学“柔性电子”课题组诚招博士研究生
+
1
/3
广东省智能院与澳门大学/澳门理工联培博士招生
+
1
/2
2026年博士申请考核+福州大学+管理科学与工程
+
1
/2
华南师范大学(211)- 光电科学与工程学院 - 申请审核制(2026年4-5月份面试考核)
+
2
/2
推荐一款可以AI辅助写作的Latex编辑器SmartLatexEditor,超级好用,AI润色,全免费
+
1
/1
1楼
2013-05-11 09:38:47
已阅
回复此楼
关注TA
给TA发消息
送TA红花
TA的回帖
失控的小乳瓜
新虫
(初入文坛)
应助: 0
(幼儿园)
金币: 371
帖子: 3
在线: 5.5小时
虫号: 3035936
★
小木虫: 金币+0.5, 给个红包,谢谢回帖
谢谢 楼主的分享啊 一直做毕设愁着呢
赞
一下
回复此楼
高级回复
53楼
2014-04-30 11:11:34
已阅
回复此楼
关注TA
给TA发消息
送TA红花
TA的回帖
查看全部 62 个回答
minilin2012
铜虫
(初入文坛)
应助: 1
(幼儿园)
金币: 69.9
帖子: 19
在线: 46.9小时
虫号: 2452009
★
huangjinhua(金币+1): 谢谢参与
感谢LZ分享,学习先..
赞
一下
回复此楼
4楼
2013-05-11 11:53:59
已阅
回复此楼
关注TA
给TA发消息
送TA红花
TA的回帖
huangjinhua
金虫
(小有名气)
应助: 8
(幼儿园)
金币: 122.7
帖子: 206
在线: 70小时
虫号: 1303376
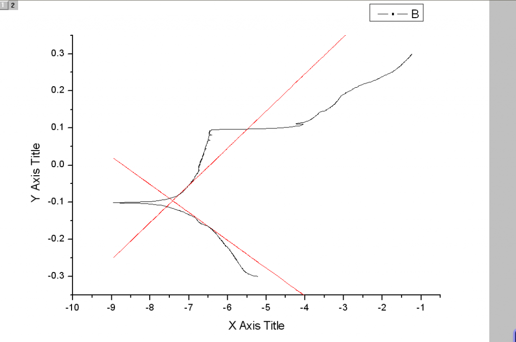
其实在origin中还可以对曲线进行做切线的方法,只是误差可能更大。在网上下了个切线插件,就可以在origin曲线中做切线了。具体看附件
10.png
11.png
12.png
赞
一下
(1人)
回复此楼
7楼
2013-05-11 21:16:48
已阅
回复此楼
关注TA
给TA发消息
送TA红花
TA的回帖
lshok
铁杆木虫
(著名写手)
应助: 11
(小学生)
金币: 5536.1
帖子: 1537
在线: 262.5小时
虫号: 1225253
★
huangjinhua(金币+2): 谢谢参与
纯猜测, 转成直角坐标,拟合好了在转回去
赞
一下
(1人)
回复此楼
12楼
2013-05-12 11:15:56
已阅
回复此楼
关注TA
给TA发消息
送TA红花
TA的回帖
查看全部 62 个回答
如果回帖内容含有宣传信息,请如实选中。否则帐号将被全论坛禁言
普通表情
龙
兔
虎
猫
高级回复
(可上传附件)
百度网盘
|
360云盘
|
千易网盘
|
华为网盘
在新窗口页面中打开自己喜欢的网盘网站,将文件上传后,然后将下载链接复制到帖子内容中就可以了。
信息提示
关闭
请填处理意见
关闭
确定