²é¿´: 719  |  »Ø¸´: 4

931124142

гæ (ÕýʽдÊÖ)


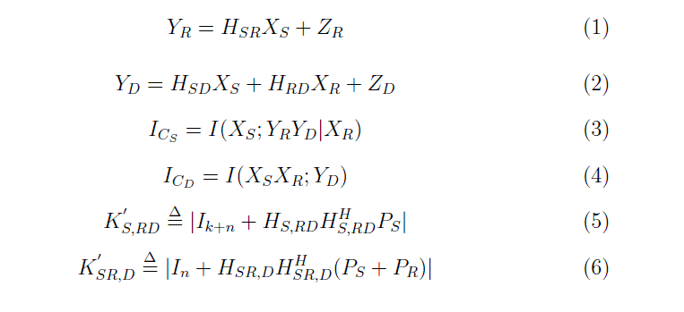
[½»Á÷] ÖмÌÐŵÀµÄÈÝÁ¿

<<Multiple-Antenna Cooperative Wireless Systems:
A Diversity¨CMultiplexing Tradeoff Perspective>>Ë­ÖªµÀÓÉ£¨1~4£©µÃµ½£¨5~6£©

1.gif



4.gif
»Ø¸´´ËÂ¥

» ²ÂÄãϲ»¶

» ±¾Ö÷ÌâÏà¹Ø¼ÛÖµÌùÍÆ¼ö£¬¶ÔÄúͬÑùÓаïÖú:

» ÇÀ½ð±ÒÀ²£¡»ØÌû¾Í¿ÉÒԵõ½:

²é¿´È«²¿É¢½ðÌù

ÒÑÔÄ   »Ø¸´´ËÂ¥   ¹Ø×¢TA ¸øTA·¢ÏûÏ¢ ËÍTAºì»¨ TAµÄ»ØÌû

sunyuanxin

½û³æ (ÖøÃûдÊÖ)

¡ï
931124142(½ð±Ò+1): лл²ÎÓë
±¾ÌûÄÚÈݱ»ÆÁ±Î

2Â¥2013-05-11 10:52:02
ÒÑÔÄ   »Ø¸´´ËÂ¥   ¹Ø×¢TA ¸øTA·¢ÏûÏ¢ ËÍTAºì»¨ TAµÄ»ØÌû

931124142

гæ (ÕýʽдÊÖ)


ÒýÓûØÌû:
2Â¥: Originally posted by sunyuanxin at 2013-05-11 10:52:02
H_SR±íʾÐŵÀ´«µÝº¯ÊýÂð£¿

ÐŵÀÔöÒæ¾ØÕó
3Â¥2013-05-11 22:42:46
ÒÑÔÄ   »Ø¸´´ËÂ¥   ¹Ø×¢TA ¸øTA·¢ÏûÏ¢ ËÍTAºì»¨ TAµÄ»ØÌû
¡ï
931124142(½ð±Ò+1): лл²ÎÓë
ÉÏ´«Ô­°æPDF,ÎÒ¿´¿´Äܲ»ÄܸøÄã½â´ð
4Â¥2013-05-14 12:21:18
ÒÑÔÄ   »Ø¸´´ËÂ¥   ¹Ø×¢TA ¸øTA·¢ÏûÏ¢ ËÍTAºì»¨ TAµÄ»ØÌû
¼òµ¥»Ø¸´
haixiawu5Â¥
2013-05-17 13:09   »Ø¸´  
Ïà¹Ø°æ¿éÌø×ª ÎÒÒª¶©ÔÄÂ¥Ö÷ 931124142 µÄÖ÷Ìâ¸üÐÂ
×î¾ßÈËÆøÈÈÌûÍÆ¼ö [²é¿´È«²¿] ×÷Õß »Ø/¿´ ×îºó·¢±í
[¿¼ÑÐ] 335Çóµ÷¼Á +4 yuyuÓî 2026-03-23 5/250 2026-03-23 23:49 by Txy@872106
[¿¼ÑÐ] Ò»Ö¾Ô¸ºÓ±±¹¤Òµ´óѧ0817»¯¹¤278·ÖÇóµ÷¼Á +7 jhybd 2026-03-23 11/550 2026-03-23 23:29 by ´ô´ôʦ½ã
[¿¼ÑÐ] 085600²ÄÁÏÓ뻯¹¤µ÷¼Á +7 A-¶ßÀ²ZÃÎ 2026-03-23 12/600 2026-03-23 23:16 by ÐÇ¿ÕÐÇÔÂ
[¿¼ÑÐ] ²ÄÁÏרҵÇóµ÷¼Á +11 hanamiko 2026-03-18 11/550 2026-03-23 23:12 by peike
[¿¼ÑÐ] 0854 ¿¼Ñе÷¼Á ÕÐÉúÁË£¡AI ·½Ïò +4 pk3725069 2026-03-19 16/800 2026-03-23 23:09 by Íô£¡£¿£¡
[»ù½ðÉêÇë] Çë½ÌÏ´ó¼Ò 2026Äê¹ú¼Ò»ù½ðÉêÇëÊÇ˫äÉóÂ𣿠+3 lishucheng1 2026-03-22 4/200 2026-03-23 20:48 by god_tian
[¿¼ÑÐ] 328Çóµ÷¼Á£¬Ó¢ÓïÁù¼¶551£¬ÓпÆÑо­Àú +7 ÉúÎ﹤³Ìµ÷¼Á 2026-03-17 12/600 2026-03-23 18:18 by YMUÊ©ÀÏʦ
[¿¼ÑÐ] Ò»Ö¾Ô¸ÖйúʯÓÍ´óѧ£¨»ª¶«£© ±¾¿ÆÆë³¹¤Òµ´óѧ +4 ʯÄÜΰ 2026-03-17 4/200 2026-03-23 17:51 by 17862566385
[¿¼ÑÐ] 352Çóµ÷¼Á +3 ´óÃ×·¹£¡ 2026-03-22 3/150 2026-03-22 23:28 by king123£¡
[¿¼ÑÐ] 289²ÄÁÏÓ뻯¹¤£¨085600£©BÇøÇóµ÷¼Á +3 ÕâôÃû×ÖÕ¦Ñù 2026-03-22 4/200 2026-03-22 17:56 by ÔÆÃñ´óÀîÀÏʦ
[¿¼ÑÐ] ÉúÎïѧ071000 329·ÖÇóµ÷¼Á +5 ÎÒ°®ÉúÎïÉúÎﰮΠ2026-03-17 5/250 2026-03-22 16:42 by tcx007
[¿¼ÑÐ] Çóµ÷¼ÁԺУÐÅÏ¢ +6 CX 330 2026-03-21 6/300 2026-03-22 15:25 by ÎÞи¿É»÷111
[¿¼ÑÐ] Ò»Ö¾Ô¸»ªÖпƼ¼´óѧ071000£¬Çóµ÷¼Á +4 ÑØ°¶Óб´¿Ç6 2026-03-21 4/200 2026-03-22 07:21 by ilovexiaobin
[¿¼ÑÐ] 336Çóµ÷¼Á +5 rmc8866 2026-03-21 5/250 2026-03-21 17:24 by ѧԱ8dgXkO
[¿¼ÑÐ] 303Çóµ÷¼Á +5 î£08 2026-03-17 7/350 2026-03-21 03:11 by JourneyLucky
[¿¼ÑÐ] 330Çóµ÷¼Á +4 С²Ä»¯±¾¿Æ 2026-03-18 4/200 2026-03-20 23:13 by JourneyLucky
[¿¼ÑÐ] 304Çóµ÷¼Á +7 ˾¿Õ. 2026-03-18 7/350 2026-03-20 23:08 by JourneyLucky
[¿¼ÑÐ] Ò»Ö¾Ô¸ ÄϾ©º½¿Õº½Ìì´óѧ´óѧ £¬080500²ÄÁÏ¿ÆÑ§Ó빤³Ìѧ˶ +5 @taotao 2026-03-20 5/250 2026-03-20 20:16 by JourneyLucky
[¿¼ÑÐ] Ò»Ö¾Ô¸Î÷°²½»Í¨´óѧ ѧ˶ 354Çóµ÷¼Á211»òÕß˫һÁ÷ +3 ÎÒÏëÒª¶ÁÑо¿Éú 2026-03-20 3/150 2026-03-20 20:13 by JourneyLucky
[¿¼ÑÐ] 261ÇóBÇøµ÷¼Á£¬¿ÆÑо­Àú·á¸» +3 Å£Ä̺Üæ 2026-03-20 4/200 2026-03-20 19:34 by JourneyLucky
ÐÅÏ¢Ìáʾ
ÇëÌî´¦ÀíÒâ¼û