| 查看: 2052 | 回复: 6 | |
[求助]
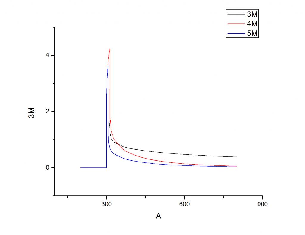
帮忙分析下紫外光谱,直线下降是怎么回事
|
|
|
|
|
nkhwrb金虫 (小有名气)
|
|
|
2楼2013-05-06 22:13:47
|
|
|
3楼2013-05-07 13:59:52
|
|
a254870691铜虫 (小有名气)
|
|
![]() |
|
|
4楼2013-05-07 14:07:17
|
|
|
5楼2013-05-07 14:16:53
|
|
a254870691铜虫 (小有名气)
|
|
![]() |
|
|
6楼2013-05-07 14:40:10
|
|
a254870691铜虫 (小有名气)
|
|
![]() |
|
|
7楼2013-05-07 16:56:03
|
|














回复此楼
