| 查看: 593 | 回复: 3 | |||
slxiao1988新虫 (初入文坛)
|
[交流]
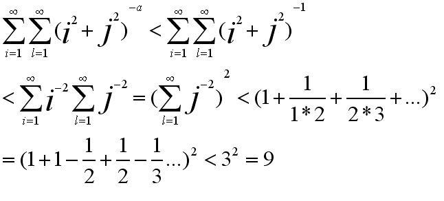
紧急求助数学版大牛,这两个表达式的上界如何计算啊? 已有2人参与
|
|
|
» 猜你喜欢
271求调剂
已经有34人回复
327求调剂
已经有10人回复
297求调剂
已经有23人回复
材料工程281还有调剂机会吗
已经有33人回复
各位老师好,求调剂,本科211,一志愿天津大学生物与医药学硕,差两名录取。
已经有4人回复
本科郑州大学,一志愿华东师范大学282求调剂
已经有32人回复
求调剂
已经有10人回复
一志愿211 0703化学 346分求调剂
已经有29人回复
化工学硕294分,求导师收留
已经有22人回复
327求调剂
已经有17人回复
2楼2013-05-06 17:00:58
3楼2013-05-06 18:23:26
4楼2013-05-08 14:24:03














回复此楼
祝福,祝福!努力搞科研,祝早日出成果!