24小时热门版块排行榜    

Znn3bq.jpeg
汕头大学海洋科学接受调剂
查看: 748  |  回复: 7

noonoh

金虫 (小有名气)


[交流] 求助聚合物结构

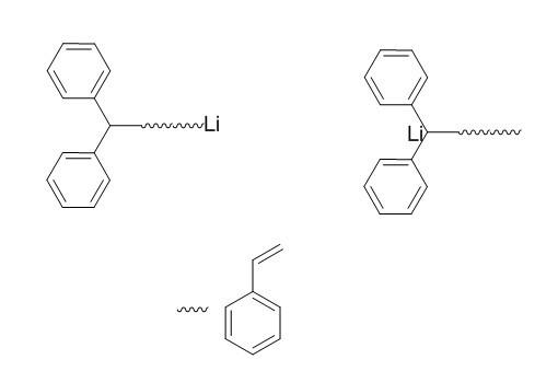
(1,1-diphenylethylene) end-capped polystyryllithium
的结构是怎样的?

1.jpg
回复此楼

» 猜你喜欢

» 本主题相关价值贴推荐,对您同样有帮助:

» 抢金币啦!回帖就可以得到:

查看全部散金贴

已阅   回复此楼   关注TA 给TA发消息 送TA红花 TA的回帖

gzl9901

铁杆木虫 (文坛精英)


顶起来!
2楼2013-05-03 17:00:17
已阅   回复此楼   关注TA 给TA发消息 送TA红花 TA的回帖

wlctcl

木虫 (著名写手)


★ ★ ★
小木虫: 金币+0.5, 给个红包,谢谢回帖
noonoh: 金币+1 2013-05-03 18:29:18
wgs8136: 金币+1, 欢迎应助 2013-05-05 08:47:09
wgs8136: 应助指数+1, 补上应助 2013-05-05 08:47:44
得看1,1二苯乙烯的加料是在开始时加入的还是聚合完后加入的,应该是上面两个分子式之一吧
3楼2013-05-03 17:16:02
已阅   回复此楼   关注TA 给TA发消息 送TA红花 TA的回帖

noonoh: 金币+1 2013-05-05 08:28:51
上面右边第二个
4楼2013-05-03 19:40:53
已阅   回复此楼   关注TA 给TA发消息 送TA红花 TA的回帖

lqb20062863

铁杆木虫 (正式写手)



noonoh: 金币+1 2013-05-05 08:28:55
是右边那个
6楼2013-05-03 22:03:20
已阅   回复此楼   关注TA 给TA发消息 送TA红花 TA的回帖
★ ★ ★
小木虫: 金币+0.5, 给个红包,谢谢回帖
noonoh: 金币+1 2013-05-05 08:28:44
wgs8136: 金币+1, 应助指数+1, 欢迎交流 2013-05-05 08:47:21
感觉产物应该是有机锂化合物的阴离子聚合,应该是第一个吧     楼主画的第二个结构我都看不懂

[ 发自手机版 http://muchong.com/3g ]
7楼2013-05-04 23:18:57
已阅   回复此楼   关注TA 给TA发消息 送TA红花 TA的回帖
★ ★ ★ ★ ★ ★ ★
小木虫: 金币+0.5, 给个红包,谢谢回帖
noonoh: 金币+6 2013-05-05 12:46:37
引用回帖:
7楼: Originally posted by 笃学明志 at 2013-05-04 23:18:57
感觉产物应该是有机锂化合物的阴离子聚合,应该是第一个吧     楼主画的第二个结构我都看不懂





昨天用手机看的 对高分子刷不了解 误导楼主了 看起来是右边那一个 但是应该标清楚,我一看以为Li放在那里不习惯
8楼2013-05-05 09:49:12
已阅   回复此楼   关注TA 给TA发消息 送TA红花 TA的回帖
简单回复
2013-05-03 20:53   回复  
相关版块跳转 我要订阅楼主 noonoh 的主题更新
普通表情 高级回复 (可上传附件)
最具人气热帖推荐 [查看全部] 作者 回/看 最后发表
[考研] 284求调剂 +10 让我上岸吧阿西 2026-04-09 10/500 2026-04-13 17:05 by 张zhihao
[考研] 材料工程281还有调剂机会吗 +32 xaw. 2026-04-11 33/1650 2026-04-13 15:21 by 张zhihao
[考研] 085600材料与化工,求调剂 +13 won_qii 2026-04-07 13/650 2026-04-13 14:22 by 张zhihao
[考研] 化工学硕 285求调剂 +29 Wisjxn 2026-04-07 29/1450 2026-04-13 13:47 by floriea
[考研] 290求调剂 +18 柯淮然 2026-04-12 20/1000 2026-04-13 12:56 by cyh—315
[考研] 生物学调剂 +11 小冉要努力 2026-04-10 13/650 2026-04-13 11:46 by 电化学及催化
[考研] 一志愿085802 323分求调剂 +13 drizzle_9 2026-04-12 14/700 2026-04-13 10:26 by Faiz5552
[考研] 2本,初试303,0860求调剂 +6 floriea 2026-04-12 8/400 2026-04-12 18:13 by zhouxiaoyu
[考研] 调剂 +10 只叙离别辞 2026-04-09 12/600 2026-04-11 20:57 by 逆水乘风
[考研] 求调剂 +6 电气300求调剂不 2026-04-08 6/300 2026-04-11 20:14 by 逆水乘风
[考研] 085500求调剂材料 +10 易11122 2026-04-09 10/500 2026-04-11 10:39 by maddjdld
[考研] 283求调剂,工科! +12 苏打水7777 2026-04-08 12/600 2026-04-11 10:28 by 逆水乘风
[考研] 282,求调剂 +12 jggshjkkm 2026-04-09 14/700 2026-04-11 09:39 by 猪会飞
[考研] 一志愿京区985,085401,与本科专业一致,电子信息工程, +4 阳光开朗的男孩 2026-04-10 4/200 2026-04-10 18:27 by shenrf
[考研] 296求调剂 +6 汪!?! 2026-04-08 6/300 2026-04-10 11:02 by mattzhming
[考研] 材料307分求大佬组收留 +17 Hll胡 2026-04-07 17/850 2026-04-09 10:53 by liuhuiying09
[考研] 085404,334分,求调剂 +5 sunjie8888 2026-04-08 8/400 2026-04-09 07:26 by sunjie8888
[考研] 求调剂 +13 柒luck 2026-04-07 13/650 2026-04-08 22:46 by 猪会飞
[考研] 考研求调剂 +4 雯??? 2026-04-08 4/200 2026-04-08 21:44 by 土木硕士招生
[考研] 318求调剂 +5 李青山山山 2026-04-07 5/250 2026-04-07 18:24 by 蓝云思雨
信息提示
请填处理意见