| ²é¿´: 346 | »Ø¸´: 0 | |
songzqÌú¸Ëľ³æ (ÕýʽдÊÖ)
|
[ÇóÖú]
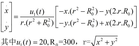
ÈçºÎ»æÖÆÏòÁ¿³¡£¨×Ô¼º±àÁËMatlab³ÌÐòµ«½á¹ûºÃÏñ²»ÕýÈ·£¬Çó¸ßÈËÖ¸µãһϣ©
|
![]() |
|
|
|
|
|
ÕÒµ½Ò»Ð©Ïà¹ØµÄ¾«»ªÌû×Ó£¬Ï£ÍûÓÐÓÃŶ~
¿ÆÑдÓСľ³æ¿ªÊ¼£¬ÈËÈËΪÎÒ£¬ÎÒΪÈËÈË
|













»Ø¸´´ËÂ¥

µã»÷ÕâÀïËÑË÷¸ü¶àÏà¹Ø×ÊÔ´