版块导航
正在加载中...
客户端APP下载
论文辅导
调剂小程序
登录
注册
帖子
帖子
用户
本版
应《网络安全法》要求,自2017年10月1日起,未进行实名认证将不得使用互联网跟帖服务。为保障您的帐号能够正常使用,请尽快对帐号进行手机号验证,感谢您的理解与支持!
24小时热门版块排行榜
>
论坛更新日志
(3199)
>
虫友互识
(252)
>
文献求助
(203)
>
导师招生
(108)
>
基金申请
(93)
>
硕博家园
(73)
>
考博
(59)
>
休闲灌水
(53)
>
博后之家
(35)
>
考研
(24)
>
招聘信息布告栏
(19)
>
论文投稿
(18)
>
海外博后
(17)
>
教师之家
(15)
>
论文道贺祈福
(13)
>
留学DIY
(10)
小木虫论坛-学术科研互动平台
»
计算模拟区
»
仿真模拟
»
FLUENT & CFX
»
UDF能编写 [矩阵] 运算吗
3
1/1
返回列表
查看: 1016 | 回复: 2
只看楼主
@他人
存档
新回复提醒
(忽略)
收藏
在APP中查看
小俊_俊
新虫
(初入文坛)
应助: 4
(幼儿园)
金币: 78.7
帖子: 29
在线: 25.1小时
虫号: 1399384
注册: 2011-09-12
专业: 传递过程
[
求助
]
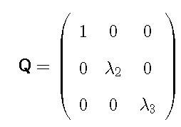
UDF能编写 [矩阵] 运算吗
如图矩阵能用UDF编写吗
未命名.jpg
回复此楼
» 猜你喜欢
有时候真觉得大城市人没有县城人甚至个体户幸福
已经有12人回复
依托企业入选了国家启明计划青年人才。有无高校可以引进的。
已经有11人回复
依托企业入选了国家启明计划青年人才。有无高校可以引进的。
已经有10人回复
同年申请2项不同项目,第1个项目里不写第2个项目的信息,可以吗
已经有9人回复
表哥与省会女结婚,父母去帮带孩子被省会女气回家生重病了
已经有7人回复
天津大学招2026.09的博士生,欢迎大家推荐交流(博导是本人)
已经有9人回复
有院领导为了换新车,用横向课题经费买了俩车
已经有10人回复
AI 太可怕了,写基金时,提出想法,直接生成的文字比自己想得深远,还有科学性
已经有6人回复
» 本主题相关价值贴推荐,对您同样有帮助:
多孔介质udf,uds编写问题
已经有33人回复
进行单机多核udf的并行计算,需要怎么设置?
已经有9人回复
fluent UDF编写一个小错误
已经有4人回复
UDF 改为并行计算
已经有9人回复
单机多核运行Fluent,加UDF,运算良好,但保存case,dat再次读取时提示错误!
已经有7人回复
vof模型算气液两相逆流 使用udf加动量源项 碰到问题 请高手解答
已经有14人回复
非稳态计算UDF自定义时间步长
已经有13人回复
如何编写UDF来读取txt格式的一组数据?
已经有11人回复
UDF 编写变上限积分
已经有8人回复
新手求救啊!Fluent非稳态计算 怎么样才能在每一个时间步上调用一次UDF啊?
已经有15人回复
fluent中用udf编写三维速度边界条件出现错误,大家来指导一下啊
已经有9人回复
曳力模型udf要并行计算,该怎么修改呢
已经有5人回复
fluent能量源项中温度T对时间的t的偏导数,即dT/dt如何用udf编写能量源项
已经有6人回复
如何使用udf将计算中的变量值输出为文本格式呢?
已经有5人回复
fluent中如何编写风剖面的UDF
已经有6人回复
【求助】单机多核UDF怎么并行计算
已经有15人回复
【求助】fluent计算中,udf编译通过,初始化出错
已经有11人回复
1楼
2013-04-24 22:11:42
已阅
回复此楼
关注TA
给TA发消息
送TA红花
TA的回帖
zoupeng2046
金虫
(正式写手)
应助: 4
(幼儿园)
金币: 771.5
散金: 106
红花: 2
帖子: 418
在线: 95.3小时
虫号: 1299130
注册: 2011-05-18
性别: GG
专业: 流体力学
【答案】应助回帖
★ ★
感谢参与,应助指数 +1
xiegangmai: 金币+2, 谢谢参与!
2013-04-25 22:12:33
当然可以,C语言能完成的事,UDF采用编译方法也能完成
赞
一下
回复此楼
2楼
2013-04-25 08:39:10
已阅
回复此楼
关注TA
给TA发消息
送TA红花
TA的回帖
shuai_1314
捐助贵宾
(小有名气)
应助: 33
(小学生)
金币: 1861.7
红花: 6
帖子: 167
在线: 163.1小时
虫号: 2415320
注册: 2013-04-12
性别: GG
专业: 内流流体力学
【答案】应助回帖
★
感谢参与,应助指数 +1
xiegangmai: 金币+1, 谢谢参与!
2013-04-25 22:12:39
就把矩阵当做一个二维数组处理,基于C语言
[ 发自手机版 http://muchong.com/3g ]
赞
一下
回复此楼
率真随性的射手
3楼
2013-04-25 10:01:50
已阅
回复此楼
关注TA
给TA发消息
送TA红花
TA的回帖
相关版块跳转
第一性原理
量子化学
计算模拟
分子模拟
仿真模拟
程序语言
我要订阅楼主
小俊_俊
的主题更新
3
1/1
返回列表
如果回帖内容含有宣传信息,请如实选中。否则帐号将被全论坛禁言
普通表情
龙
兔
虎
猫
百度网盘
|
360云盘
|
千易网盘
|
华为网盘
在新窗口页面中打开自己喜欢的网盘网站,将文件上传后,然后将下载链接复制到帖子内容中就可以了。
信息提示
关闭
请填处理意见
关闭
确定