| 查看: 437 | 回复: 2 | |||
wzbin689木虫 (著名写手)
|
[求助]
求教一个淀粉基高分子絮凝剂降解率的测定问题,欢迎各位有机合成的指导一下重赏!
|
|
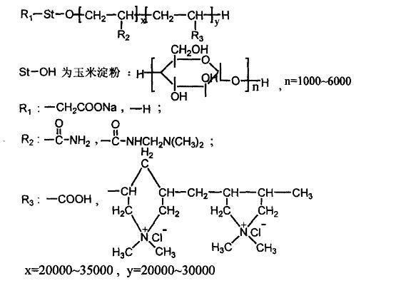
一种高分子淀粉基絮凝剂,合成原料是玉米淀粉+丙烯酰胺+二甲基二烯丙基氯化铵,反相乳相法三元共聚形成阳离子淀粉基高分子絮凝剂。基本结构如图所示。现在我们想测定该物质降解率,即在自然水体中的分解降解情况,如何测定?测定什么物质能够代表剩余该淀粉的量??方法如何?多谢了。重赏! 未命名.JPG |
» 猜你喜欢
085600,材料与化工321分,求调剂
已经有13人回复
311求调剂
已经有8人回复
348求调剂
已经有3人回复
0805求调剂
已经有8人回复
266分,一志愿电气工程,本科材料,求材料专业调剂
已经有3人回复
385分 生物学(071000)求调剂
已经有6人回复
材料调剂
已经有3人回复
一志愿北交大材料工程总分358
已经有9人回复
311求调剂
已经有12人回复
319求调剂
已经有11人回复
» 本主题相关商家推荐: (我也要在这里推广)
wzbin689
木虫 (著名写手)
- 应助: 6 (幼儿园)
- 金币: 1530.6
- 散金: 1061
- 红花: 5
- 帖子: 2720
- 在线: 282.7小时
- 虫号: 465265
- 注册: 2007-11-22
- 性别: GG
- 专业: 污染生态化学
2楼2013-04-24 20:14:32
duzhong
荣誉版主 (文学泰斗)
-

专家经验: +863 - 应助: 1252 (讲师)
- 贵宾: 15.494
- 金币: 604334
- 散金: 70637
- 红花: 1380
- 沙发: 2735
- 帖子: 77692
- 在线: 5541.1小时
- 虫号: 1486860
- 注册: 2011-11-11
- 性别: GG
- 专业: 有机合成
- 管辖: SciFinder/Reaxys
3楼2013-04-25 00:00:52














回复此楼