| 查看: 1039 | 回复: 1 | |
benben8220铜虫 (初入文坛)
|
[求助]
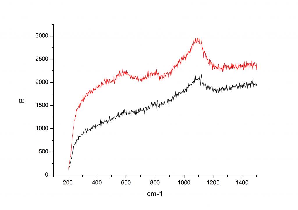
SiO2-SnO2薄膜拉曼分析
|
|
|
|
huangzx1314禁虫 (知名作家)
|
|
|
2楼2013-04-23 18:37:29
|
|













回复此楼