24小时热门版块排行榜    

北京石油化工学院2026年研究生招生接收调剂公告
查看: 1346  |  回复: 0

一一8778

铜虫 (小有名气)

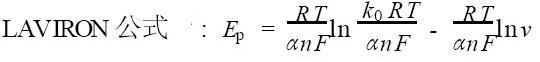
[交流] Laviron equation中的RT代表什么意思

Laviron equation中的RT代表什么意思,谢谢?

1166788_1294650833_628.jpg
回复此楼
已阅   回复此楼   关注TA 给TA发消息 送TA红花 TA的回帖
相关版块跳转 我要订阅楼主 一一8778 的主题更新
普通表情 高级回复 (可上传附件)
最具人气热帖推荐 [查看全部] 作者 回/看 最后发表
[考研] 材料求调剂 一志愿哈工大总分298分,前三科223分 +4 dongfang59 2026-03-27 4/200 2026-03-28 03:44 by fmesaito
[考研] 085602 化工专硕 338分 求调剂 +10 路痴小琪 2026-03-27 10/500 2026-03-28 03:36 by fmesaito
[有机交流] 高温高压反应求助 10+4 chibby 2026-03-25 4/200 2026-03-27 21:08 by BT20230424
[考研] 食品工程专硕一志愿中海洋309求调剂 +3 小张zxy张 2026-03-26 5/250 2026-03-27 18:42 by 小张zxy张
[考研] 求调剂 +4 零八# 2026-03-27 4/200 2026-03-27 18:07 by yu221
[考研] 085600,材料与化工321分,求调剂 +9 大馋小子 2026-03-27 9/450 2026-03-27 14:30 by mmm just
[考研] 085600,材料与化工321分调剂 +4 大馋小子 2026-03-27 6/300 2026-03-27 14:11 by 松花缸1201
[考研] 322求调剂 +4 我真的很想学习 2026-03-23 4/200 2026-03-27 13:51 by 杨杨杨紫
[考研] 311求调剂 +7 lin0039 2026-03-26 7/350 2026-03-27 12:42 by 果果妈咪
[考研] 考研调剂 +10 呼呼?~+123456 2026-03-24 10/500 2026-03-27 11:46 by wangjy2002
[考研] 一志愿武汉理工,总分321,英一数二,求老师收留。 +5 nnnnnnn5 2026-03-25 5/250 2026-03-27 04:42 by wxiongid
[考研] 351求调剂 +4 麦克阿磊 2026-03-24 4/200 2026-03-27 00:32 by wxiongid
[考研] 342求调剂 +3 加油a李zs 2026-03-26 3/150 2026-03-27 00:29 by wxiongid
[考研] 材料与化工304求B区调剂 +3 邱gl 2026-03-26 6/300 2026-03-26 18:03 by 邱gl
[考研] 085600 材料与化工 329分求调剂 +9 Mr. Z 2026-03-25 9/450 2026-03-26 10:36 by baoball
[考研] 化学调剂一志愿上海交通大学336分-本科上海211 +4 小鱼爱有机 2026-03-25 4/200 2026-03-26 10:19 by aa331100
[考研] 302求调剂 +4 锦衣卫藤椒 2026-03-25 4/200 2026-03-25 16:29 by 功夫疯狂
[考研] 求调剂 +7 十三加油 2026-03-21 7/350 2026-03-23 23:48 by 热情沙漠
[论文投稿] 急发核心期刊论文 +3 贤达问津 2026-03-23 5/250 2026-03-23 17:13 by 妹子不好惹
[考研] 一志愿深大,0703化学,总分302,求调剂 +4 七月-七七 2026-03-21 4/200 2026-03-21 18:20 by 学员8dgXkO
信息提示
请填处理意见