| 查看: 372 | 回复: 2 | ||
[求助]
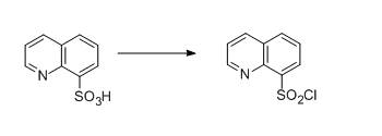
喹啉-8-磺酸的磺酰化反应
|
|
有个问题想请教一下大家,我做下面这个反应,用的是SOCl2,加了几滴DMF催化,回流反应4-5h, 我想问一下这个反应有没有人做过呀,是怎么后处理的?还是说生成的磺酰氯不稳定,直接投下一步反应? 反应.gif |
» 猜你喜欢
267求调剂
已经有13人回复
292求调剂
已经有3人回复
322求调剂
已经有8人回复
348求调剂
已经有7人回复
材料调剂
已经有5人回复
349求调剂
已经有4人回复
环境工程 085701,267求调剂
已经有16人回复
一志愿北交材料工程总分358
已经有5人回复
材料0856 英一数二 323 求调剂
已经有8人回复
318求调剂
已经有4人回复
» 本主题相关价值贴推荐,对您同样有帮助:
氨的酰化反应合成中遇到了关环副产物 求大牛交流
已经有37人回复
酰化反应的常用溶媒
已经有8人回复
邻二苯甲醚在无路易斯酸催化下的酰化反应
已经有10人回复
如何合成8-羟基喹啉-5-磺酸钠?
已经有9人回复
有没有用酯类或者酸做酰化反应的可能
已经有11人回复
【求助】苯胺的磺酰化反应条件
已经有9人回复
【讨论】做酰化反应,酰氯为什么都是滴加呀
已经有3人回复
谁做过氨基酸的N-酰化反应
已经有7人回复
【求助】非保护的吲哚的F-C酰化反应
已经有16人回复
【求助】求助 关于二甲苯磺酸的具体性质用途等 及磺化反应的相关内容
已经有4人回复
【求助】镉或镁离子与8-羟基喹啉-5-磺酸反应
已经有6人回复
【讨论】关于三乙胺参与的酰化反应
已经有24人回复
【求助】酰化反应
已经有8人回复
【求助】有关苄基氯的酰化反应
已经有10人回复
zhenwuhuang
管理员
![]()
![]()
![]()
![]()
- 应助: 4351 (副教授)
- 金币: 10187.8
- 散金: 1
- 红花: 137
- 帖子: 65926
- 在线: 2434.2小时
- 虫号: 2227382
- 注册: 2013-01-07
- 性别: GG
- 专业: 人类营养
【答案】应助回帖
★
感谢参与,应助指数 +1
jiangchunyong: 金币+1, 谢谢 2013-04-19 20:34:25
感谢参与,应助指数 +1
jiangchunyong: 金币+1, 谢谢 2013-04-19 20:34:25
| 异喹啉-5-磺酸合成及反应机理研究。http://wenku.baidu.com/view/f77bb90ce87101f69e31954c.html |
» 本帖已获得的红花(最新10朵)
2楼2013-04-19 18:35:16
3楼2013-04-19 19:36:38














回复此楼
haiyanqian