| ²é¿´: 604 | »Ø¸´: 1 | |
±Ë°¶É½Ä¾³æ (ÕýʽдÊÖ)
|
[ÇóÖú]
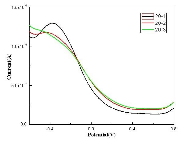
Âé·³¸÷λ¸ßÈ˸ø¿´¿´£¬ÎªÊ²Ã´²î·ÖÂö³åʵÑéͻȻ¾Í²â²»×¼Á˰¡¡£
|
![]() |
|
|
|
|
±Ë°¶É½Ä¾³æ (ÕýʽдÊÖ)
|
|
![]() |
|
|
2Â¥2013-04-23 20:05:53
|
|














»Ø¸´´ËÂ¥