| 查看: 811 | 回复: 1 | ||
[交流]
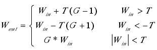
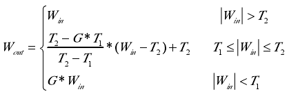
matlab小波系数增强如何实现?阈值门限和增益因子采用人机交互如何实现? 已有1人参与
|
gzl9901
铁杆木虫 (文坛精英)
very good
- 应助: 3 (幼儿园)
- 金币: 6279.5
- 红花: 28
- 沙发: 2
- 帖子: 11263
- 在线: 1769.2小时
- 虫号: 1294464
- 注册: 2011-05-13
- 专业: 计算机软件

2楼2013-04-17 01:32:17













回复此楼
祝福,祝福,顶起来,抢顶楼!
30