| 查看: 1074 | 回复: 5 | ||
[求助]
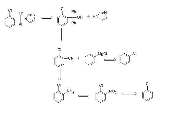
求助这三种化合物的逆合成分析
|
||
![]() |
||
|
|
||
|
2楼2013-04-16 16:39:45
|
|
|
yangtie2008版主
|
» 本帖附件资源列表
2013-04-16 18:52:02, 28.22 K
|
|
|
3楼2013-04-16 18:53:10
|
|
|
yangtie2008主管区长
|
||
|
4楼2013-04-16 18:55:44
|
|
|
yangtie2008兑换贵宾
|
【答案】应助回帖
★ ★ ★ ★ ★ ★ ★ ★ ★ ★ ★ ★ ★ ★ ★
感谢参与,应助指数 +1 小小药童: 金币+15, ★★★★★最佳答案 2013-04-17 10:26:32
» 本帖附件资源列表
2013-04-16 18:55:23, 28.22 K
|
|
|
5楼2013-04-16 18:56:31
|
|
|
liyongping88专家顾问 |
|
|
|
6楼2013-04-17 14:22:56
|
|














回复此楼