24小时热门版块排行榜    

北京石油化工学院2026年研究生招生接收调剂公告
查看: 1395  |  回复: 0

默雨

木虫 (小有名气)

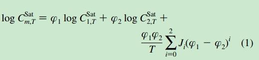
[求助] Jouyban -Acree 模型参数如何求取?

方程中只有J0、J1、J2未知,现在知道其他数值,文献中说利用无截距最小二乘法computed by regressing log Cm,TSat-φ1logC1, TSat-φ2logC2, TSat against (φ1φ2)/(T), (φ1φ2(φ1-φ2))/(T),and (φ1φ2(φ1 -φ2)2)/( T)2,计算出前面的ln部分,然后对每一部分 (φ1φ2)/(T)、(φ1φ2(φ1-φ2))/(T)、(φ1φ2(φ1 -φ2)2)/( T)2进行线性回归得到的功率吗?怎么计算呢?各位做过的给点意见啊,这个做在多种溶剂中的溶解度方程参数的回归。按照自己的理解和文献对不上啊,差数量级呢。求教

Jouyban -Acree model 方程



文献结果
回复此楼
让一切随风而去
已阅   回复此楼   关注TA 给TA发消息 送TA红花 TA的回帖
相关版块跳转 我要订阅楼主 默雨 的主题更新
最具人气热帖推荐 [查看全部] 作者 回/看 最后发表
[考研] 材料工程085601数二英一335求调剂 +6 双马尾痞老板2 2026-03-31 6/300 2026-04-04 22:29 by hemengdong
[考研] 0854求调剂 +4 assdll 2026-04-03 4/200 2026-04-04 22:17 by hemengdong
[考研] 358求调剂 +5 秋gk 2026-04-04 5/250 2026-04-04 21:03 by dongzh2009
[考研] 342求调剂 +3 Liang7111 2026-04-04 5/250 2026-04-04 19:47 by dongzh2009
[论文投稿] 求文献 5+3 ys879651$ 2026-04-02 3/150 2026-04-04 17:22 by bobvan
[考研] 309求调剂 +6 刘刘刘1231 2026-04-02 7/350 2026-04-04 13:41 by liucky
[考研] 求调剂 +3 wos666 2026-04-03 3/150 2026-04-03 21:36 by lbsjt
[考研] 266分,求材料相关专业调剂 +13 哇呼哼呼哼 2026-03-30 15/750 2026-04-03 15:24 by arrow8852
[考研] 293求调剂 +5 末未mm 2026-04-02 6/300 2026-04-03 15:20 by 王保杰33
[考研] 英一数一408,总分284,二战真诚求调剂 +13 12.27 2026-03-30 15/750 2026-04-03 14:41 by 氮气气气
[考研] 085801 总分275 本科新能源 求调剂 +19 bradoner 2026-04-01 23/1150 2026-04-03 10:07 by linyelide
[考研] 279求调剂 +6 qazplm0852 2026-04-02 6/300 2026-04-03 10:03 by 蓝云思雨
[考研] 338求调剂,一志愿能源动力,外语是日语203 +5 zzz,,r 2026-04-02 5/250 2026-04-03 09:45 by 蓝云思雨
[考研] 309求调剂 +14 呆菇不是戴夫 2026-04-02 14/700 2026-04-03 09:42 by 蓝云思雨
[考研] 295求调剂 +7 愿旅途永远坦然 2026-04-02 7/350 2026-04-03 08:22 by fangshan711
[考研] 一志愿北交大材料工程总分358 +3 cs0106 2026-04-02 5/250 2026-04-02 11:37 by olim
[考研] 304求调剂 +12 素年祭语 2026-03-31 15/750 2026-04-01 22:41 by peike
[考研] 吉大生物学326分求调剂 +3 sunnyupup 2026-03-31 3/150 2026-03-31 09:28 by longlotian
[考研] 297 地理学070500 复试求调剂 +3 小圆圈圈ooo 2026-03-30 3/150 2026-03-30 21:05 by 余震yz
[考研] 293求调剂 +3 末未mm 2026-03-30 5/250 2026-03-30 17:23 by 王保杰33
信息提示
请填处理意见