| 查看: 2775 | 回复: 10 | |||
| 当前只显示满足指定条件的回帖,点击这里查看本话题的所有回帖 | |||
[求助]
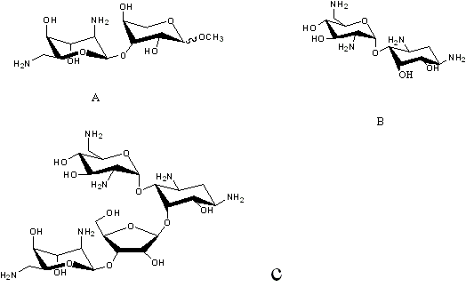
三种化合物极性大小的判断
|
|||
|
|
|||
|
11楼2013-04-14 16:51:03
|
|
||
| 查看全部 11 个回答 | |||
anyluk主管区长 (文坛精英)
国家高级公共营养师
|
|||
![]() |
|||
|
2楼2013-04-07 11:13:12
|
|
||
|
3楼2013-04-07 11:29:05
|
|
||
谈判陶荣誉版主 (文坛精英)
如切如磋,如琢如磨
|
|||
![]() |
|||
|
4楼2013-04-07 11:48:46
|
|
||













回复此楼

