| ²é¿´: 1294 | »Ø¸´: 12 | ||
| µ±Ç°Ö»ÏÔʾÂú×ãÖ¸¶¨Ìõ¼þµÄ»ØÌû£¬µã»÷ÕâÀï²é¿´±¾»°ÌâµÄËùÓлØÌû | ||
ccaoxingfuÒø³æ (ÕýʽдÊÖ)
|
[ÇóÖú]
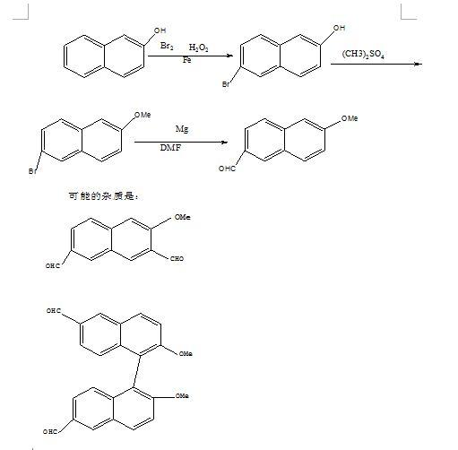
ÔõÑùʹ´¿¶ÈΪ96%µÄ6-¼×Ñõ»ù-2-ÝÁ¼×È©´ïµ½99%
|
|
| ÔõÑùʹ´¿¶ÈΪ96%µÄ6-¼×Ñõ»ù-2-ÝÁ¼×È©´ïµ½99%£»³É±¾²»ÒªÌ«´ó |
» ²ÂÄãϲ»¶
±±¾©ÁÖÒµ´óѧ˶µ¼ÕÐÉú¹ã¸æ
ÒѾÓÐ4È˻ظ´
²ÄÁϵ÷¼Á
ÒѾÓÐ7È˻ظ´
»¯Ñ§¹¤³Ì085602 305·ÖÇóµ÷¼Á
ÒѾÓÐ10È˻ظ´
289Çóµ÷¼Á
ÒѾÓÐ15È˻ظ´
291 Çóµ÷¼Á
ÒѾÓÐ7È˻ظ´
274Çóµ÷¼Á
ÒѾÓÐ14È˻ظ´
309Çóµ÷¼Á
ÒѾÓÐ5È˻ظ´
292Çóµ÷¼Á
ÒѾÓÐ8È˻ظ´
Çóµ÷¼Á
ÒѾÓÐ4È˻ظ´
Ò»Ö¾Ô¸ Î÷±±´óѧ ×Ü·Ö282 Ó¢ÓïÒ»62 Çóµ÷¼Á
ÒѾÓÐ3È˻ظ´
Ò¯£¬ÖØÐÂÀ´¹ý
гæ (³õÈëÎÄ̳)
- Ó¦Öú: 0 (Ó×¶ùÔ°)
- ½ð±Ò: 1.5
- Ìû×Ó: 5
- ÔÚÏß: 3.4Сʱ
- ³æºÅ: 2405866
- ×¢²á: 2013-04-07
3Â¥2013-04-07 19:59:04
ccaoxingfu
Òø³æ (ÕýʽдÊÖ)
- Ó¦Öú: 0 (Ó×¶ùÔ°)
- ½ð±Ò: 402.9
- É¢½ð: 11
- ºì»¨: 1
- Ìû×Ó: 488
- ÔÚÏß: 72.3Сʱ
- ³æºÅ: 1255147
- ×¢²á: 2011-04-04
- ÐÔ±ð: GG
- רҵ: ÓлúºÏ³É
4Â¥2013-04-09 19:00:48
liulhyn
ľ³æ (ÖøÃûдÊÖ)
- Ó¦Öú: 6 (Ó×¶ùÔ°)
- ½ð±Ò: 1586.1
- ºì»¨: 2
- Ìû×Ó: 1069
- ÔÚÏß: 322.3Сʱ
- ³æºÅ: 872896
- ×¢²á: 2009-10-15
- ÐÔ±ð: MM
- רҵ: ºÏ³ÉÒ©Îﻯѧ
5Â¥2013-04-10 12:19:10
ccaoxingfu
Òø³æ (ÕýʽдÊÖ)
- Ó¦Öú: 0 (Ó×¶ùÔ°)
- ½ð±Ò: 402.9
- É¢½ð: 11
- ºì»¨: 1
- Ìû×Ó: 488
- ÔÚÏß: 72.3Сʱ
- ³æºÅ: 1255147
- ×¢²á: 2011-04-04
- ÐÔ±ð: GG
- רҵ: ÓлúºÏ³É
6Â¥2013-04-12 19:43:55













»Ø¸´´ËÂ¥