| ²é¿´: 518 | »Ø¸´: 4 | ||
yin-wei521Òø³æ (ÖøÃûдÊÖ)
|
[ÇóÖú]
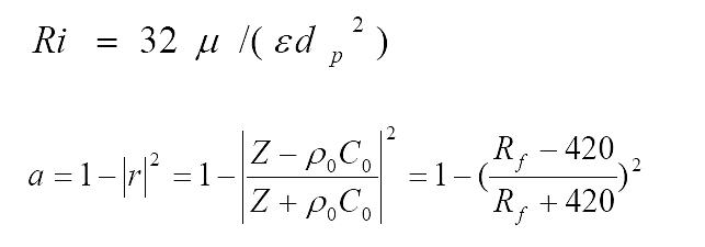
¶à¿×²ÄÁÏ ÎüÉù ÎüÕñ ¹«Ê½£¿
|
|
¿´µ½Á½¸ö¹«Ê½£¬µ«ÊÇûÕÒµ½³ö´¦£¬Íû¸ßÈËÖ¸µã¡£ ͬʱ£¬»¹ÓÐÄÄЩÎüÉù »òÕß ÎüÕñµÄ ¹«Ê½£¿ £¨Óë¿×¾¶Óйصģ¡£© ллÀ² £¬ ½ð±Ò¿ÉÒÔ×·¼Ó 11.jpg |
» ²ÂÄãϲ»¶
¡¾¿¼Ñе÷¼Á¡¿»¯Ñ§×¨Òµ 281·Ö£¬Ò»Ö¾Ô¸ËÄ´¨´óѧ£¬³ÏÐÄÇóµ÷¼Á
ÒѾÓÐ8È˻ظ´
Ò»Ö¾Ô¸»ªÄÏʦ´ó 070300£¨»¯Ñ§£©304·ÖÇóµ÷¼Á
ÒѾÓÐ3È˻ظ´
Ò»Ö¾Ô¸ Î÷±±´óѧ £¬070300»¯Ñ§Ñ§Ë¶£¬×Ü·Ö287£¬Ë«·ÇÒ»±¾£¬Çóµ÷¼Á¡£
ÒѾÓÐ3È˻ظ´
Ò»Ö¾Ô¸ÖØÇì´óѧ085700×ÊÔ´Óë»·¾³×¨Ë¶£¬×Ü·Ö308Çóµ÷¼Á
ÒѾÓÐ3È˻ظ´
354Çóµ÷¼Á
ÒѾÓÐ8È˻ظ´
304Çóµ÷¼Á
ÒѾÓÐ6È˻ظ´
Ò»Ö¾Ô¸Î÷ÄϽ»´ó£¬Çóµ÷¼Á
ÒѾÓÐ5È˻ظ´
299Çóµ÷¼Á
ÒѾÓÐ5È˻ظ´
²ÄÁÏרҵÇóµ÷¼Á
ÒѾÓÐ6È˻ظ´
311Çóµ÷¼Á
ÒѾÓÐ5È˻ظ´
» ±¾Ö÷ÌâÏà¹ØÉ̼ÒÍÆ¼ö: (ÎÒÒ²ÒªÔÚÕâÀïÍÆ¹ã)

yin-wei521
Òø³æ (ÖøÃûдÊÖ)
- Ó¦Öú: 14 (СѧÉú)
- ½ð±Ò: 329
- É¢½ð: 1524
- ºì»¨: 12
- Ìû×Ó: 1689
- ÔÚÏß: 511.6Сʱ
- ³æºÅ: 975245
- ×¢²á: 2010-03-18
- ÐÔ±ð: GG
- רҵ: »úеĦ²ÁѧÓë±íÃæ¼¼Êõ

2Â¥2013-04-01 09:37:32
SKDDFQ
ľ³æ (СÓÐÃûÆø)
- Ó¦Öú: 4 (Ó×¶ùÔ°)
- ½ð±Ò: 3084.7
- É¢½ð: 11
- Ìû×Ó: 175
- ÔÚÏß: 166.6Сʱ
- ³æºÅ: 557047
- ×¢²á: 2008-05-12
- רҵ: ¾ÛºÏÎï¹²»ìÓ븴ºÏ²ÄÁÏ
3Â¥2013-04-01 16:53:55
|
±¾ÌûÄÚÈݱ»ÆÁ±Î |
4Â¥2013-04-02 14:03:05
wlscj
ľ³æÖ®Íõ (ÎÄ̳¾«Ó¢)
- Ó¦Öú: 170 (¸ßÖÐÉú)
- ½ð±Ò: 211474
- É¢½ð: 28056
- ºì»¨: 320
- Ìû×Ó: 32581
- ÔÚÏß: 1886.2Сʱ
- ³æºÅ: 601878
- ×¢²á: 2008-09-13
- רҵ: Ó¦ÓõØÇòÎïÀíѧ
5Â¥2014-12-21 07:29:13













»Ø¸´´ËÂ¥