| 查看: 1592 | 回复: 6 | ||
[求助]
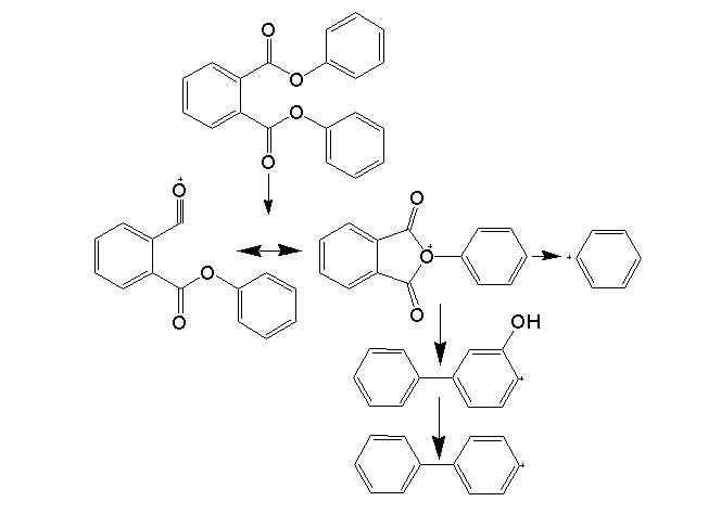
求邻苯二甲酸二苯酯(DPhP)的质谱裂解图 (有GC-MS/MS 质谱图), 等你来挑战
|
|
邻苯二甲酸二苯酯的质谱离子主要有225、77、169、153等(按丰度大小排序),求其裂解途径和裂解机理?质谱图如下: DPHP.png [ Last edited by yanjiucha on 2013-3-27 at 13:25 ] |
» 猜你喜欢
康复大学泰山学者周祺惠团队招收博士研究生
已经有6人回复
AI论文写作工具:是科研加速器还是学术作弊器?
已经有3人回复
孩子确诊有中度注意力缺陷
已经有6人回复
2026博士申请-功能高分子,水凝胶方向
已经有6人回复
论文投稿,期刊推荐
已经有4人回复
硕士和导师闹得不愉快
已经有13人回复
请问2026国家基金面上项目会启动申2停1吗
已经有5人回复
同一篇文章,用不同账号投稿对编辑决定是否送审有没有影响?
已经有3人回复
ACS Applied Polymer Materials投稿
已经有10人回复
RSC ADV状态问题
已经有4人回复
» 本主题相关价值贴推荐,对您同样有帮助:
邻苯二甲酸和氯化亚砜反应为什么衍生化后只有一个酯化?
已经有19人回复
使用气象色谱-质谱(GC-MS)分析二苯酮-3标准品,不出峰是什么原因?
已经有4人回复
4-氨基邻苯二甲酸与甲醇反应成酯时,氨基会和醇反应吗?
已经有30人回复
4-羟基邻苯二甲酸的溶解性?
已经有11人回复
关于邻苯二甲酸酐 与氨基,羟基 反应问题
已经有18人回复
邻苯二甲酸酯(PAEs)的处理检测有没有国标方法
已经有8人回复
急问0.05 mol/L的NaOH/乙醇标准溶液怎么用邻苯二甲酸氢钾滴定?
已经有3人回复
气相色谱-质谱联用法测定PVC样品中六种邻苯二甲酸酯的不确定度评定
已经有32人回复
邻苯二甲酸氢钾能从邻苯二甲酸合成不?
已经有3人回复
跪求 邻苯二甲酸二甲酯在20℃和25℃下在水中的溶解度
已经有5人回复
邻苯二甲酸酐放久了会变质吗
已经有5人回复
邻苯二甲酸氢钾的干燥需时间
已经有3人回复
邻苯二甲酸氢钾换算成toc
已经有7人回复
邻苯二甲酸亚胺怎么把N上的H转化成K(钾)
已经有6人回复
【求助】碳水化合物的显色剂问题——苯胺-邻苯二甲酸显色剂怎么配制
已经有4人回复
【求助】关于羟值滴定中邻苯二甲酸酐吡啶溶液的问题
已经有12人回复
利用间羟基二乙基苯胺与邻苯二甲酸酐制备罗丹明B的具体步骤
已经有1人回复
【求助】邻苯二甲酸氢钾的晶体结构
已经有4人回复
【求助】对硝基邻苯二甲酸能否在进行硝化反应
已经有7人回复

wy19871124
新虫 (职业作家)
质谱首席顾问
- ACI: 2
- 应助: 551 (博士)
- 金币: 1607.6
- 散金: 959
- 红花: 183
- 帖子: 3052
- 在线: 447.4小时
- 虫号: 1593016
- 注册: 2012-01-31
- 性别: GG
- 专业: 质谱分析
2楼2013-04-23 21:50:28

3楼2013-04-24 08:37:57
wy19871124
新虫 (职业作家)
质谱首席顾问
- ACI: 2
- 应助: 551 (博士)
- 金币: 1607.6
- 散金: 959
- 红花: 183
- 帖子: 3052
- 在线: 447.4小时
- 虫号: 1593016
- 注册: 2012-01-31
- 性别: GG
- 专业: 质谱分析
4楼2013-04-24 16:52:54

5楼2013-04-24 22:03:08
wy19871124
新虫 (职业作家)
质谱首席顾问
- ACI: 2
- 应助: 551 (博士)
- 金币: 1607.6
- 散金: 959
- 红花: 183
- 帖子: 3052
- 在线: 447.4小时
- 虫号: 1593016
- 注册: 2012-01-31
- 性别: GG
- 专业: 质谱分析
6楼2013-04-25 13:51:19
wy19871124
新虫 (职业作家)
质谱首席顾问
- ACI: 2
- 应助: 551 (博士)
- 金币: 1607.6
- 散金: 959
- 红花: 183
- 帖子: 3052
- 在线: 447.4小时
- 虫号: 1593016
- 注册: 2012-01-31
- 性别: GG
- 专业: 质谱分析
7楼2013-04-25 13:51:36













回复此楼
