24小时热门版块排行榜    

北京石油化工学院2026年研究生招生接收调剂公告
查看: 286  |  回复: 0

飘逸小公主

金虫 (小有名气)

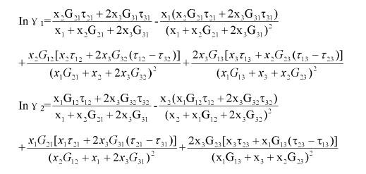
[求助] 有关三元物性NRTL方程第三组分前边为什么乘以2呢

如题,如下图,根据NRTL方程写出的活度系数表达式,但是第三组分X3前边为什么都要乘以2呢?

3D{~8JIA2AU6C6YU6_1(RKN.jpg
回复此楼
已阅   回复此楼   关注TA 给TA发消息 送TA红花 TA的回帖
相关版块跳转 我要订阅楼主 飘逸小公主 的主题更新
最具人气热帖推荐 [查看全部] 作者 回/看 最后发表
[考研] 一志愿中国石油大学化学工程323分求调剂 +4 化工专硕323分 2026-04-03 6/300 2026-04-03 22:12 by dongzh2009
[考研] 调剂 +8 JLLLLLLLLLL 2026-04-03 8/400 2026-04-03 22:06 by 无际的草原
[考研] 化工求调剂 +11 荔香芝士椰奶 2026-04-03 11/550 2026-04-03 22:06 by 啵啵啵0119
[考研] 081700化学工程与技术 一志愿中海洋 323 求调剂学校 +9 披星河 2026-04-03 9/450 2026-04-03 21:41 by lbsjt
[考研] 295求调剂 +3 尚偌呀 2026-04-03 4/200 2026-04-03 21:23 by zhq0425
[考研] 070300一志愿211,312分求调剂院校 +16 小黄鸭宝 2026-03-30 16/800 2026-04-03 19:53 by lijunpoly
[考研] 317分 一志愿南理工材料工程 本科湖工大 求调剂 +14 芋泥小铃铛 2026-03-28 14/700 2026-04-03 15:36 by 晴空210210
[考研] 293求调剂 +5 末未mm 2026-04-02 6/300 2026-04-03 15:20 by 王保杰33
[硕博家园] 求老师收留 +9 lllq123 2026-04-03 9/450 2026-04-03 13:48 by 呼吸都是减肥
[考研] 本科新能源科学与工程,一志愿华理能动285求调剂 +9 AZMK 2026-03-28 13/650 2026-04-03 11:18 by qqq850810
[考研] 材料化工340求调剂 +5 jhx777 2026-03-30 5/250 2026-04-02 12:45 by smileboy2006
[考研] 266分,一志愿电气工程,本科材料,求材料专业调剂 +10 哇呼哼呼哼 2026-04-01 11/550 2026-04-02 11:31 by lnilvy
[考研] 261求B区调剂 +5 明仔· 2026-04-01 7/350 2026-04-02 11:17 by 邹尉尉
[考研] 07生物学求调剂 一志愿同济大学359分 +3 LAMC. 2026-03-30 3/150 2026-04-02 10:26 by 18828373951
[考研] 070300化学279求调剂 +15 哈哈哈^_^ 2026-03-31 17/850 2026-04-01 21:37 by 给你你注意休息
[考研] 材料与化工(0856)304求B区调剂 +8 邱gl 2026-03-30 16/800 2026-04-01 17:58 by 邱gl
[考研] 283求调剂 +9 A child 2026-03-28 9/450 2026-04-01 14:20 by Jaylen.
[考研] 一志愿南昌大学324求调剂 +7 hanamiko 2026-03-30 7/350 2026-04-01 13:22 by JourneyLucky
[考研] 环境工程 085701,267求调剂 +15 minht 2026-03-29 16/800 2026-04-01 10:13 by li_sujuan99
[考研] 求调剂 +7 争取九点睡 2026-03-28 8/400 2026-03-28 21:07 by 争取九点睡
信息提示
请填处理意见