| ²é¿´: 908 | »Ø¸´: 5 | ||
Orlicz½ð³æ (СÓÐÃûÆø)
|
[ÇóÖú]
ÕÔÊ÷‹? ΢»ý·Ö½Ì²ÄÉÏÒ»µÀ»ý·ÖÌâ
|
|
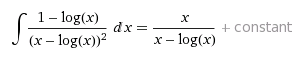
¼ÆËã²»¶¨»ý·Ö |
» ²ÂÄãϲ»¶
ÉúÎïѧѧ˶Çóµ÷¼Á£º351·ÖÒ»Ö¾Ô¸ÄϾ©Ê¦·¶´óѧÉúÎïѧרҵ
ÒѾÓÐ5È˻ظ´
Çóµ÷¼Á£¬Ò»Ö¾Ô¸ÏÃÃÅ´óѧ£¬ÉúÎïÓëÒ½Ò©£¬×Ü·Ö272£¬±¾¿Æ211
ÒѾÓÐ5È˻ظ´
µ÷¼Á
ÒѾÓÐ9È˻ظ´
070300»¯Ñ§Ñ§Ë¶311·ÖÇóµ÷¼Á
ÒѾÓÐ11È˻ظ´
Ò»Ö¾Ô¸±±½»´ó²ÄÁϹ¤³Ì×Ü·Ö358Çóµ÷¼Á
ÒѾÓÐ7È˻ظ´
308Çóµ÷¼Á
ÒѾÓÐ12È˻ظ´
0703»¯Ñ§
ÒѾÓÐ18È˻ظ´
ÉúÎïѧ308·ÖÇóµ÷¼Á£¨Ò»Ö¾Ô¸»ª¶«Ê¦´ó£©
ÒѾÓÐ5È˻ظ´
292Çóµ÷¼Á
ÒѾÓÐ4È˻ظ´
286Çóµ÷¼Á
ÒѾÓÐ10È˻ظ´
» ±¾Ö÷ÌâÏà¹Ø¼ÛÖµÌùÍÆ¼ö£¬¶ÔÄúͬÑùÓаïÖú:
ÊýѧÀïÓÐÖØ»ý·Ö£¬ÄÇÊDz»ÊÇÒ²ÓÐÖØÎ¢·Ö
ÒѾÓÐ3È˻ظ´
weft
ľ³æ (ÕýʽдÊÖ)
- Ó¦Öú: 125 (¸ßÖÐÉú)
- ½ð±Ò: 2557.3
- ºì»¨: 13
- Ìû×Ó: 301
- ÔÚÏß: 147.4Сʱ
- ³æºÅ: 2161851
- ×¢²á: 2012-12-02
- רҵ: ÎÄ»¯Ñ§
2Â¥2013-03-22 06:14:35
Âí¶ûÄÂÌØ
Ìú³æ (СÓÐÃûÆø)
- Ó¦Öú: 3 (Ó×¶ùÔ°)
- ½ð±Ò: 2766
- Ìû×Ó: 241
- ÔÚÏß: 120Сʱ
- ³æºÅ: 2252666
- ×¢²á: 2013-01-21
- רҵ: ¹âѧºÍ¹âµç×Óѧ
¡¾´ð°¸¡¿Ó¦Öú»ØÌû
¸Ðл²ÎÓ룬ӦÖúÖ¸Êý +1
|
-d(ln x/x)=(ln x-1)/(x*x) ËùÒÔÔʽµÈÓÚ¶Ô-d(ln x/x)*(x*x)/(x-ln x)·½ =-d(ln x/x)/(1-ln x/x)·½ =-1/£¨1-ln x/x£© =x/(ln x-x) |
» ±¾ÌûÒÑ»ñµÃµÄºì»¨£¨×îÐÂ10¶ä£©
3Â¥2013-03-22 07:42:24
weft
ľ³æ (ÕýʽдÊÖ)
- Ó¦Öú: 125 (¸ßÖÐÉú)
- ½ð±Ò: 2557.3
- ºì»¨: 13
- Ìû×Ó: 301
- ÔÚÏß: 147.4Сʱ
- ³æºÅ: 2161851
- ×¢²á: 2012-12-02
- רҵ: ÎÄ»¯Ñ§
¡¾´ð°¸¡¿Ó¦Öú»ØÌû
¡ï ¡ï ¡ï ¡ï ¡ï
¸Ðл²ÎÓ룬ӦÖúÖ¸Êý +1
Orlicz: ½ð±Ò+5, ¡ï¡ï¡ï¡ï¡ï×î¼Ñ´ð°¸, ·Ç³£¸Ðл£¬Õâ¸ö·½·¨ÊÊÓᣠ2013-03-23 07:24:18
¸Ðл²ÎÓ룬ӦÖúÖ¸Êý +1
Orlicz: ½ð±Ò+5, ¡ï¡ï¡ï¡ï¡ï×î¼Ñ´ð°¸, ·Ç³£¸Ðл£¬Õâ¸ö·½·¨ÊÊÓᣠ2013-03-23 07:24:18
4Â¥2013-03-22 12:42:16
Orlicz
½ð³æ (СÓÐÃûÆø)
- Ó¦Öú: 2 (Ó×¶ùÔ°)
- ½ð±Ò: 8709.1
- É¢½ð: 5
- ºì»¨: 1
- Ìû×Ó: 179
- ÔÚÏß: 77.1Сʱ
- ³æºÅ: 1010300
- ×¢²á: 2010-05-03
- רҵ: ·ºº¯·ÖÎö
5Â¥2013-03-23 07:24:53
Orlicz
½ð³æ (СÓÐÃûÆø)
- Ó¦Öú: 2 (Ó×¶ùÔ°)
- ½ð±Ò: 8709.1
- É¢½ð: 5
- ºì»¨: 1
- Ìû×Ó: 179
- ÔÚÏß: 77.1Сʱ
- ³æºÅ: 1010300
- ×¢²á: 2010-05-03
- רҵ: ·ºº¯·ÖÎö
6Â¥2013-03-23 07:25:40














»Ø¸´´ËÂ¥
Orlicz