| 查看: 1002 | 回复: 0 | ||
[求助]
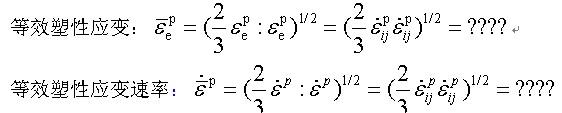
等效塑性应变以及等效塑性应变速率
|
|
单轴拉伸下,等效塑性应变,等效应力是这么表示的吗? 11.jpg 一般应力状态下,mises等效塑性应变以及等效塑性应变速率时怎么表示的? 33.jpg 关于等效塑性应变、等效塑性应变速率已经纠结好久了,有谁有不错的教案吗?或者相关的参考书,感激不尽 [ Last edited by deng_jiao on 2013-3-21 at 16:59 ] |
» 猜你喜欢
deform环件轧制
已经有0人回复
卢森堡大学拟招收2026博士生一名,CSC渠道, 协助完成研修计划
已经有0人回复
机械工程论文润色/翻译怎么收费?
已经有130人回复
寻找论文指导老师
已经有6人回复
南方科技大学机械与能源工程系-邓辉研究员招收2026级博士生
已经有0人回复
南方科技大学机械与能源工程系-邓辉研究员招收2026级博士生
已经有0人回复
东北大学2026级申请考核制博士招生(安全工程、矿业工程、通风、能源动力等方向)
已经有19人回复
中国地质大学(北京)工程技术学院薛启龙课题组招收2026年博士生
已经有3人回复
南方科技大学机械与能源工程系-邓辉研究员招收2026级博士生
已经有0人回复
招收硕,博士,博士后及联培:设备状态监测, 可靠性与维护,人工智能,图像处理
已经有0人回复

找到一些相关的精华帖子,希望有用哦~
蠕变应变和疲劳塑性应变的区分
已经有79人回复
热加工图的使用
已经有6人回复
【求助】金属热加工图
已经有17人回复
【求助】应力应变曲线 均匀塑性变形 是哪段
已经有6人回复
【求助】紧急求助:金属塑性变形应变与温度的关系是什么?
已经有5人回复
东北大学国基中标项目
已经有33人回复
【请教】关于尺度效应 表面效应 量子效应 应变塑性梯度理论
已经有6人回复
科研从小木虫开始,人人为我,我为人人













回复此楼
点击这里搜索更多相关资源