| 查看: 322 | 回复: 1 | |
yefengonline金虫 (正式写手)
|
[求助]
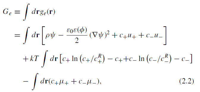
有关电解质溶液中自由能的表达式
|
![]() |
|
|
|
|
sddtc888至尊木虫 (著名写手)
Hψ=Eψ S=klnΩ dS≥δQ/T
|
|
![]() |
|
|
2楼2013-04-30 23:59:10
|
|













回复此楼