| 查看: 251 | 回复: 1 | ||
mingerxiao木虫 (小有名气)
小明
|
[求助]
双晶片致动器由CNTs和PDMS构成,怎么求它的弯曲方程 求大神指引方向!!!
|
|
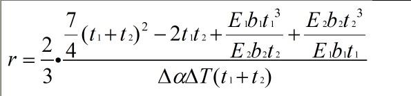
在论文 thermally excited silicon microactuators 中有一个方程 求问他是否适用于柔性的材料(因为原论文中是硅金) 还有他是如何推导的 3.jpg 1.jpg 2.jpg 4.jpg |
» 猜你喜欢
济南大学国家优青课题组 2026 调剂招生来啦
已经有0人回复
武汉纺织大学_化学院官方调剂群-院士团队招生-学生自由度高发展好-欢迎各位同学
已经有0人回复
金属材料论文润色/翻译怎么收费?
已经有195人回复
西华大学 化学 调剂有名额
已经有0人回复
上海应用技术大学招生调剂研究生
已经有8人回复
南京晓庄学院绿色能源材料团队招生
已经有0人回复
南京晓庄学院绿色能源材料团队招生
已经有0人回复
北方工业大学储能技术-02电化学储能与氢能方向招收2026级二次调剂学生
已经有0人回复
求助WO3.cif文件 对应PDF卡片 43-1035,单斜晶系 , P21/n 。
已经有2人回复
» 本主题相关商家推荐: (我也要在这里推广)
mingerxiao
木虫 (小有名气)
小明
- 应助: 1 (幼儿园)
- 金币: 3912.2
- 散金: 460
- 帖子: 58
- 在线: 40.9小时
- 虫号: 1619712
- 注册: 2012-02-15
- 性别: GG
- 专业: 凝聚态物性I:结构、力学和
2楼2013-03-17 17:19:56













回复此楼
10