| ²é¿´: 1720 | »Ø¸´: 1 | |||||
³ÕÃÎäìÏæÄ¾³æ (ÖøÃûдÊÖ)
|
[½»Á÷]
·ÅÉäʾ×Ù¼Á£ºLymphoseek (Technetium Tc 99m tilmanocept)×¢ÉäÒº£¨2012-03-13£© ÒÑÓÐ1È˲ÎÓë
|
|
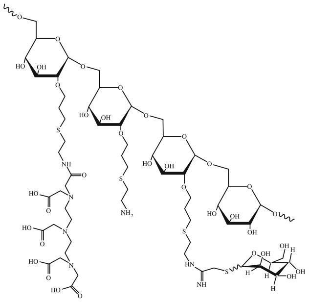
ÉÌÆ·Ãû£ºLymphoseek ͨÓÃÃû£ºTechnetium Tc 99m tilmanocept ÖÐÎÄÃû£ºÎ´Öª Ò©Æó£ºNavidea Biopharmaceuticals, Inc. ÊÊÓ¦Ö¢£ºÓÃÓÚÈéÏÙ°©ºÍºÚÉ«ËØÁö»¼Õß¶¨Î»Áܰͽᣬ¸¨×ôÊÖÊõÇгýÖ×ÁöÒýÁ÷Áܰͽᣨtumor-draining lymph node£©¡£ »îÐԳɷ֣ºTechnetium Tc 99m tilmanocept¡£¸ÃÒ©ÊÇÒ»ÖֺϳɵĴó·Ö×Ó£¬º¬Óжà¸ö¸Ê¶ÌǺͶþÒÒÏ©Èý°·Îå´×Ëᣨdiethylene triamine penta acetic acid, DTPA£©Æ¬¶Î£¬ÕâЩƬ¶ÎÁ¬½ÓÔÚ10-kDaÓÒÐýÌÇÜչǼÜÉÏ£¬×Ü·Ö×ÓÁ¿ÔÚ19-kDa×óÓÒ¡£¸Ê¶ÌÇ¿ÉÒÔʶ±ð¸Ê¶ÌÇÊÜÌ壬Æð¾«È·¶¨Î»×÷Óã¬DTPA¿ÉÒÔòüºÏ99mTc£¬Æð·ÅÉäÏÔÓ°×÷Ó᣽ṹʽÈçÏ£º ×÷ÓûúÀí£ºLymphoseekÄܹ»ÓëÁܰÍÍø×´ÄÚÆ¤Ï¸°û±íÃæ¸Ê¶ÌÇÊÜÌ壨mannose receptor, CD206£©ÌØÒìÐÔ½áºÏ£¬¾«È·¼ì²âÔ·¢Ö×Áö£¨ÈéÏÙ°©¡¢ºÚÉ«ËØÁö£©ÏòÁܰÍ×ªÒÆÇé¿ö£¬¼´¼ì²âǰÉÚÁܰͽᣨsentinel lymph node, SLN£©¡£Ç°ÉÚÁܰͽáÊÇÔ·¢Ö×ÁöÒýÁ÷ÇøÓòÖеÄÌØÊâÁܰͽᣬÊÇÔ·¢Ö×Áö·¢ÉúÁܰͽá×ªÒÆËù±Ø¾µÄµÚÒ»Õ¾£¬Ñ°ÕÒµ½Ç°ÉÚÁܰͽáÊÇÊÖÊõÖеÄÒ»¸öÖØÒª»·½Ú¡£ ²»Á¼·´Ó¦£º×¢É䲿λ²»ÊÊ»òÌÛÍ´¡£ ²¹³ä˵Ã÷£ºLymphoseekÊÇ30ÄêÀ´FDAÊ×´ÎÅú×¼ÓÃÓÚÁܰͽᶨλµÄÐÂÒ©£¬ÊôÓÚ°ÐÏò¸Ê¶ÌÇÊÜÌåµÄFirst-in-ClassÒ©Îï¡£ÁíÍâÁ½¸öÀàËÆÏÔÓ°¼ÁÊÇTechnetium Tc-99m Sulfur Colloid£¨1974Ä꣩ºÍIsosulfan blue£¨1981Ä꣩¡£NavideaÊÇÒ»¼ÒרעÓÚ¾«È··ÅÉäÕï¶ÏÊÔ¼ÁµÄÉúÎïÖÆÒ©¹«Ë¾£¬LymphoseekÊǸù«Ë¾Ñз¢µÄËÄÖÖÕï¶ÏÊÔ¼ÁÖ®Ò»£¬ÁíÈýÖÖΪNAV4694£¨°¢¶û×Ⱥ£Ä¬²¡Õï¶Ï£©¡¢CFT¡¢RIGScan£¨Ö×ÁöÕï¶Ï£©£¬¹«Ë¾Ö÷Ò³£ºwww.navidea.com¡£ [ Last edited by ³ÕÃÎäìÏæ on 2013-3-14 at 10:09 ] |
» ÊÕ¼±¾ÌûµÄÌÔÌûר¼ÍƼö
ÉúÎïÖÆÆ· | ʾ×Ù |
» ²ÂÄãϲ»¶
ÖйúÒ©¿Æ´óѧ2026Èëѧ²©Ê¿£¬Ò©ÎïºÏ³ÉºÍÉè¼Æ¾Ñ飬·ÅÉ仯ѧ¼°·ÅÉäҽѧÑо¿
ÒѾÓÐ25È˻ظ´
2026ÉêÇ뿼ºË²©Ê¿×Ô¼ö-µ°°×ÖÊ×éѧ/AI/Ò©ÎïÉè¼Æ/AIDD/»¯Ñ§ÉúÎïѧ
ÒѾÓÐ1È˻ظ´
Ò©ÀíѧÂÛÎÄÈóÉ«/·ÒëÔõôÊÕ·Ñ?
ÒѾÓÐ182È˻ظ´
ʹÓÃMolAICal½øÐжàëÄÐéÄâɸѡ½Ì³Ì-ͬÑùÊÊÓÃÓÚµ°°×ÖʺͺËËáµÄÐéÄâɸѡ
ÒѾÓÐ1È˻ظ´
ʹÓÃMolAICal¼ÆËãÒ©Îﻯѧ¹ýÂËÆ÷MCFs¼°MCE-18ÃèÊö·û
ÒѾÓÐ0È˻ظ´
ʹÓÃMolAICal·¢ÏÖµ°°×ÊÜÌåDZÔڵĻîÐÔ¿Ú´ü¼°Î»µã
ÒѾÓÐ0È˻ظ´
»ªÀíҩѧѧ˶Çóµ÷¼Á£¬×Ü·Ö324
ÒѾÓÐ0È˻ظ´
°ÄÃÅÀí¹¤´óѧÈ˹¤ÖÇÄÜÒ©Îï·¢ÏÖÖÐÐÄÕÐÊÕ2026¼¶²©Ê¿Ñо¿Éú£¨ÉêÇë-¿¼ºËÖÆ£©
ÒѾÓÐ10È˻ظ´
ÖйúÒ½Ò©ÐÐÒµ·¢Õ¹ÏÖ×´£º±ê×¼Æ·ÍÆ¶¯Ò©Æ·¼ì²âˮƽÌáÉý
ÒѾÓÐ0È˻ظ´
» ±¾Ö÷ÌâÏà¹ØÉ̼ÒÍÆ¼ö: (ÎÒÒ²ÒªÔÚÕâÀïÍÆ¹ã)
» ±¾Ö÷ÌâÏà¹Ø¼ÛÖµÌùÍÆ¼ö£¬¶ÔÄúͬÑùÓаïÖú:
·ÅÉäÐÔÍ¬Î»ËØÊ¾×ÙµÄÎÊÌ⣬ÊÔÑéÖÜÆÚ´óÓÚ°ëË¥ÆÚ
ÒѾÓÐ11È˻ظ´
![]() |
2Â¥2013-03-14 10:42:50













»Ø¸´´ËÂ¥


