| 查看: 1198 | 回复: 6 | ||
2008000099金虫 (正式写手)
|
[求助]
求助混合强度(intensity of mixing)的计算方法
|
|
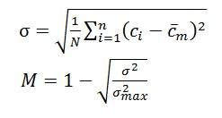
请教关于这篇文章里如何用CFD模拟出混合强度(intensity of mixing)的方法。最好是fluent上的。即下文中的Im值。求各位大神帮帮忙啦~ 文章链接:http://www.sciencedirect.com/sci ... i/S1385894711015075 [ Last edited by 2008000099 on 2013-3-18 at 17:16 ] |
» 猜你喜欢
292求调剂
已经有3人回复
11408 一志愿西电,277分求调剂
已经有3人回复
材料295
已经有13人回复
085600材料与化工调剂
已经有24人回复
316求调剂
已经有3人回复
一志愿北交大材料工程总分358
已经有4人回复
081700化学工程与技术 一志愿中海洋 323 求调剂学校
已经有10人回复
387求调剂
已经有5人回复
一志愿哈尔滨工业大学085600英一数二337分求调剂
已经有6人回复
085600,320分求调剂
已经有6人回复
2楼2013-03-19 10:39:23
★
xiegangmai: 金币-1, 专业版块,请勿灌水 2013-03-21 14:37:51
xiegangmai: 金币-1, 专业版块,请勿灌水 2013-03-21 14:37:51
|
3楼2013-03-19 19:03:16
4楼2013-03-19 22:08:27
2008000099
金虫 (正式写手)
- 应助: 1 (幼儿园)
- 金币: 4551.2
- 散金: 1222
- 红花: 2
- 帖子: 566
- 在线: 217.2小时
- 虫号: 985140
- 注册: 2010-03-29
- 性别: GG
- 专业: 化学反应工程
5楼2013-03-20 14:47:12
2008000099
金虫 (正式写手)
- 应助: 1 (幼儿园)
- 金币: 4551.2
- 散金: 1222
- 红花: 2
- 帖子: 566
- 在线: 217.2小时
- 虫号: 985140
- 注册: 2010-03-29
- 性别: GG
- 专业: 化学反应工程
6楼2013-03-20 14:53:43
7楼2015-07-28 16:48:41














回复此楼