| 查看: 267 | 回复: 0 | |
[求助]
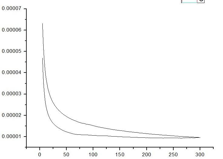
做的四氧化三铁好像一直都不是,测了下ZFC
|
|
|
|
|
|
找到一些相关的精华帖子,希望有用哦~
科研从小木虫开始,人人为我,我为人人
|













回复此楼
点击这里搜索更多相关资源