| ²é¿´: 997 | »Ø¸´: 10 | ||
ptiaľ³æ (ÕýʽдÊÖ)
|
[ÇóÖú]
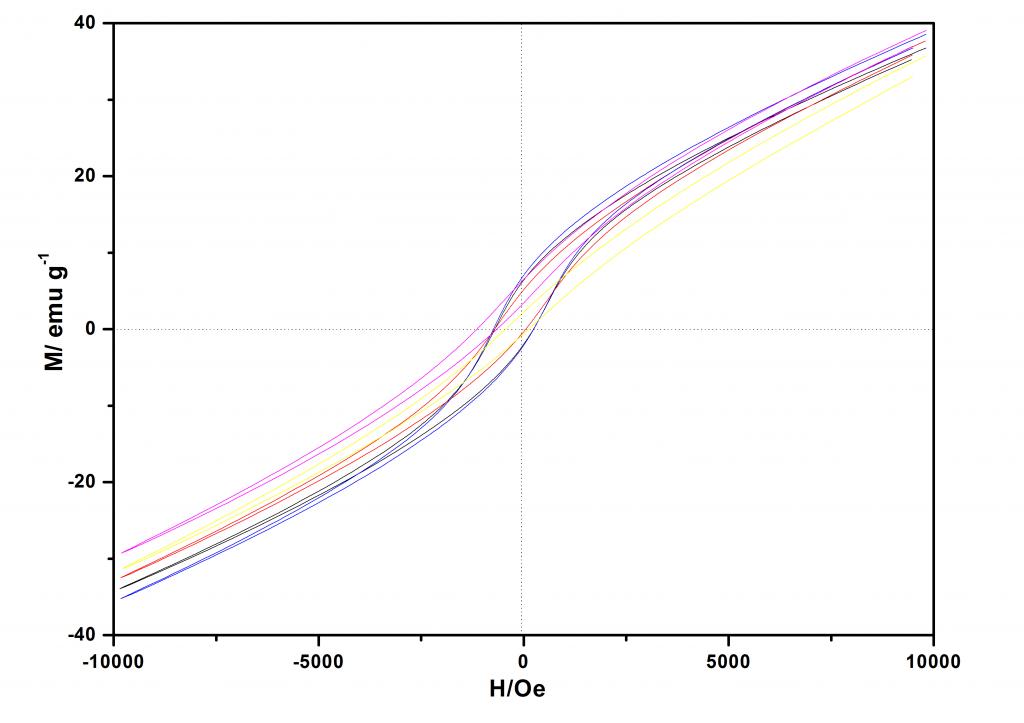
ÓÐË×öNdFeBµÄ´ÅÐÔÄÜÏà¹ØµÄÂð£¿Çó½Ì¼¸¸öÎÊÌ⣿Íò·Ö¸Ðл
|
|
|
|
||
wbcuiÖÁ×ðľ³æ (ÖªÃû×÷¼Ò)
|
¡¾´ð°¸¡¿Ó¦Öú»ØÌû
¡ï ¡ï ¡ï ¡ï ¡ï ¡ï ¡ï ¡ï ¡ï ¡ï ¡ï
¸Ðл²ÎÓ룬ӦÖúÖ¸Êý +1 ptia: ½ð±Ò+10, ¡ï¡ï¡ïºÜÓаïÖú, ллÄãµÄ»Ø´ð£¬²»ÖªµÀÎÒµÄÕâ¸ö²ÄÁÏΪʲô»áÕâÑù£¬ÏëÎÊÒ»ÏÂloop²âÊÔʱʲôÒâ˼£¿NdFeB²â´ÅÖÍ»ØÏßÓÃVSM²âÐÐÂ𣿼Ó5TµÄ´Å³¡ÊÇʲôÒâ˼£¿²»ºÃÒâ˼°¡£¬ÎÒÕæÊǵÚÒ»´Î²â£¬²»¶®ÕâЩ£¬»¹Çë¶à°ï°ïÎÒ£¬Íò·Ö¸Ðл 2013-03-11 17:21:47 ½¯ÇàËÉ: ½ð±Ò+1, ¸Ðлwbcui°æ»ý¼«²ÎÓë±¾°æÓ¦Öú 2013-03-13 07:55:12
|
|
|
2Â¥2013-03-11 16:48:44
|
|
|
ptiaľ³æ (ÕýʽдÊÖ)
|
||
|
3Â¥2013-03-11 17:28:36
|
|
|
ptiaľ³æ (ÕýʽдÊÖ)
|
||
|
4Â¥2013-03-11 19:35:06
|
|
|
wbcuiÖÁ×ðľ³æ (ÖªÃû×÷¼Ò)
|
||
|
5Â¥2013-03-11 23:33:53
|
|
|
ptiaľ³æ (ÕýʽдÊÖ)
|
||
|
6Â¥2013-03-12 08:32:12
|
|
|
wbcuiÖÁ×ðľ³æ (ÖªÃû×÷¼Ò)
|
||
|
7Â¥2013-03-12 16:21:36
|
|
|
zjsywsccqÒø³æ (ÕýʽдÊÖ)
|
||
![]() |
||
|
8Â¥2013-03-12 22:16:26
|
|
|
ptiaľ³æ (ÕýʽдÊÖ)
|
||
|
9Â¥2013-03-13 07:52:39
|
|
|
wbcuiÖÁ×ðľ³æ (ÖªÃû×÷¼Ò)
|
||
|
10Â¥2013-03-13 21:54:07
|
|















»Ø¸´´ËÂ¥

ptia
