版块导航
正在加载中...
客户端APP下载
登录
注册
帖子
帖子
用户
本版
应《网络安全法》要求,自2017年10月1日起,未进行实名认证将不得使用互联网跟帖服务。为保障您的帐号能够正常使用,请尽快对帐号进行手机号验证,感谢您的理解与支持!
24小时热门版块排行榜
>
论坛更新日志
(2716)
>
虫友互识
(209)
>
文献求助
(189)
>
导师招生
(98)
>
基金申请
(90)
>
攻关文献(高奖励)
(61)
>
招聘信息布告栏
(35)
>
育儿交流
(31)
>
仿真模拟
(30)
>
休闲灌水
(21)
>
考博
(19)
>
SciFinder/Reaxys
(18)
>
博后之家
(18)
>
催化
(14)
>
硕博家园
(13)
>
高分子
(8)
小木虫论坛-学术科研互动平台
»
计算模拟区
»
仿真模拟
»
COMSOL Multiphysics & HYPERWORKS
»
comsol中边界条件的设定
1
1/1
返回列表
查看: 1423 | 回复: 0
只看楼主
@他人
存档
新回复提醒
(忽略)
收藏
在APP中查看
lihongpengsy
木虫
(小有名气)
应助: 1
(幼儿园)
金币: 1929.2
帖子: 142
在线: 92.7小时
虫号: 1509775
注册: 2011-11-25
专业: 常微分方程与动力系统
[
求助
]
comsol中边界条件的设定
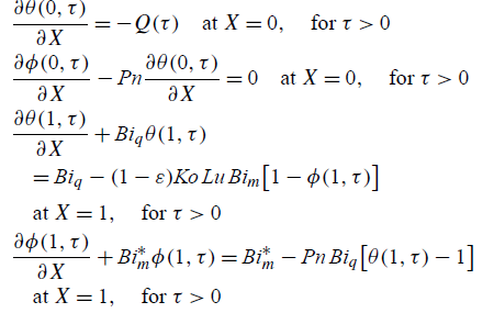
请问大家:这样的边界条件应该怎样设置啊,我用的是comsol4.3a,特别是怎么选择x=0这个端点及怎么选择x=1这个端点设置?
20130307142121.png
回复此楼
» 猜你喜欢
今年审到国自然15份,谈谈感受
已经有14人回复
考博自荐
已经有6人回复
青C资助名额大幅增加!
已经有16人回复
重磅!青年科学基金项目(C类)资助增幅预计超过50%
已经有10人回复
我在等一个没有答案的答案
已经有3人回复
半夜喝咖啡
已经有5人回复
面上本子正文33页,违规吗?会被低分嘛?
已经有6人回复
售SCI一区T0P文章,我:8.O.5.5.1.O.5.4,科目齐全,可+急
已经有4人回复
售SCI一区T0P文章,我:8.O.5.5.1.O.5.4,科目齐全,可+急
已经有7人回复
售SCI一区T0P文章,我:8.O.5.5.1.O.5.4,科目齐全,可+急
已经有5人回复
1楼
2013-03-07 14:25:40
已阅
回复此楼
关注TA
给TA发消息
送TA红花
TA的回帖
智能机器人
Robot
(super robot)
我们都爱小木虫
找到一些相关的精华帖子,希望有用哦~
comsol显示错误求助
已经有3人回复
COMSOL中如何表示变化的宽度或直径
已经有4人回复
comsol小问题求助——端口处无法设定激励,没有这个选项,为什么?
已经有4人回复
在comsol里面怎么将一个模块的计算结果用到另一个应力模块作为加载源
已经有9人回复
求助comsol模拟热传问题
已经有11人回复
Comsol仿真中出现问题!求助各位大牛!!!!
已经有7人回复
comsol电渗流分析
已经有9人回复
Comsol RF模块时域求解器中如何设置PML?
已经有7人回复
comsol流动传热耦合结果有问题
已经有5人回复
如何处理comsol 边界条件和后处理能流积分
已经有3人回复
comsol耦合模型的原理是什么啊?
已经有5人回复
想用comsol解泊松方程,却不知道怎么设边界条件
已经有7人回复
如何用comsol设定本物理模型
已经有5人回复
【讨论】comsol中电场能量密度和磁场能量密度
已经有12人回复
【求助】求推荐 最容易上手的电磁场仿真软件(低频甚至静态),能够简单建3d模型和设置
已经有3人回复
【求助】comsol计算提示如下错误是什么意思?
已经有13人回复
【求助】哪里才有真正的COMSOL下载啊
已经有7人回复
【求助】comsol中PML设置
已经有8人回复
【求助】请教COmsol求解问题
已经有10人回复
【求助】用comsol软件模拟的时候怎么设置入射光的方向呢?
已经有9人回复
【求助】comsol模拟有内热源的瞬态热传导问题
已经有7人回复
【求助】利用Comsol进行表面等离子体模拟
已经有15人回复
【资源】COMSOL电化学抛光模拟中文资料
已经有8人回复
【求助】怎样在comsol里设定边界的压力(50金币)
已经有4人回复
点击这里搜索更多相关资源
科研从小木虫开始,人人为我,我为人人
相关版块跳转
第一性原理
量子化学
计算模拟
分子模拟
仿真模拟
程序语言
我要订阅楼主
lihongpengsy
的主题更新
1
1/1
返回列表
如果回帖内容含有宣传信息,请如实选中。否则帐号将被全论坛禁言
普通表情
龙
兔
虎
猫
百度网盘
|
360云盘
|
千易网盘
|
华为网盘
在新窗口页面中打开自己喜欢的网盘网站,将文件上传后,然后将下载链接复制到帖子内容中就可以了。
最具人气热帖推荐
[查看全部]
作者
回/看
最后发表
[
基金申请
]
面上本子正文33页,违规吗?会被低分嘛?
+5
1234567wang
2026-05-17
6/300
2026-05-17 21:18
by
maxjing
[
硕博家园
]
售SCI一区T0P文章,我:8.O.5.5.1.O.5.4,科目齐全,可+急
+6
l7k6xnh0yc
2026-05-14
7/350
2026-05-17 19:42
by
Equinoxhua
[
找工作
]
售SCI一区T0P文章,我:8.O.5.5.1.O.5.4,科目齐全,可+急
+5
l7k6xnh0yc
2026-05-14
5/250
2026-05-17 19:39
by
Equinoxhua
[
考研
]
售SCI一区T0P文章,我:8.O.5.5.1.O.5.4,科目齐全,可+急
+4
xx7gd5zq4e
2026-05-15
6/300
2026-05-17 19:36
by
Equinoxhua
[
考研
]
售SCI一区T0P文章,我:8.O.5.5.1.O.5.4,科目齐全,可+急
+6
cjf4bx70cj
2026-05-14
7/350
2026-05-17 18:49
by
Equinoxhua
[
教师之家
]
上海大学实验技术岗位非升即走
+7
嘻嘻哈哈乐呵呵
2026-05-15
7/350
2026-05-17 16:58
by
songwz
[
考研
]
售SCI一区T0P文章,我:8.O.5.5.1.O.5.4,科目齐全,可+急
+4
v9tggjlwd0
2026-05-15
4/200
2026-05-17 08:11
by
11n4dfd8yn
[
公派出国
]
售SCI一区T0P文章,我:8.O.5.5.1.O.5.4,科目齐全,可+急
+6
l7k6xnh0yc
2026-05-14
6/300
2026-05-17 07:16
by
11n4dfd8yn
[
硕博家园
]
售SCI一区T0P文章,我:8.O.5.5.1.O.5.4,科目齐全,可+急
+5
cjf4bx70cj
2026-05-14
7/350
2026-05-17 06:55
by
11n4dfd8yn
[
考研
]
售SCI一区T0P文章,我:8.O.5.5.1.O.5.4,科目齐全,可+急
+3
k37jurhrau
2026-05-16
3/150
2026-05-17 01:25
by
ue3ir18jc3
[
考博
]
售SCI一区T0P文章,我:8.O.5.5.1.O.5.4,科目齐全,可+急
+3
ky2p12rrjj
2026-05-15
4/200
2026-05-17 00:57
by
ue3ir18jc3
[
硕博家园
]
售SCI一区T0P文章,我:8.O.5.5.1.O.5.4,科目齐全,可+急
+3
ky2p12rrjj
2026-05-15
3/150
2026-05-17 00:45
by
ue3ir18jc3
[
考研
]
售SCI一区T0P文章,我:8.O.5.5.1.O.5.4,科目齐全,可+急
+4
x0mp7owy2b
2026-05-15
4/200
2026-05-17 00:25
by
ue3ir18jc3
[
基金申请
]
请问大佬b0816评完了吗
+4
市民华南虎
2026-05-12
8/400
2026-05-16 19:54
by
Equinoxhua
[
高分子
]
本人最近太闲了,谁有问题可以提,每天会统一回复
+9
一切都是空工
2026-05-12
20/1000
2026-05-16 19:52
by
Equinoxhua
[
有机交流
]
求助2,4-二氯-5-嘧啶甲醛的合成方法
20
+3
光吃不拉
2026-05-14
6/300
2026-05-16 19:46
by
Equinoxhua
[
硕博家园
]
售SCI一区T0P文章,我:8.O.5.5.1.O.5.4,科目齐全,可+急
+4
x0mp7owy2b
2026-05-15
4/200
2026-05-16 17:45
by
j6b2pdz07o
[
有机交流
]
如何实现卤原子转化
+3
BT20230424
2026-05-15
5/250
2026-05-16 16:20
by
czyzsu
[
考研
]
售SCI一区T0P文章,我:8.O.5.5.1.O.5.4,科目齐全,可+急
+4
l7k6xnh0yc
2026-05-14
6/300
2026-05-16 11:29
by
h3oerqvkv9
[
文学芳草园
]
风把牡丹吹跑了
+5
myrtle
2026-05-12
9/450
2026-05-15 15:27
by
myrtle
信息提示
关闭
请填处理意见
关闭
确定