| 查看: 734 | 回复: 2 | ||
[求助]
我那个乱七八糟的m-s曲线,求大神帮分析下
|
|
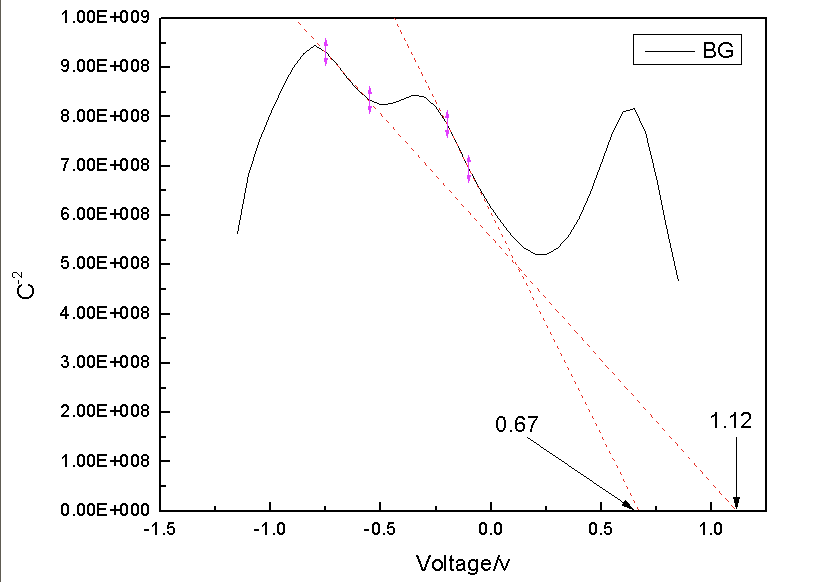
本人是电化学菜鸟,本人做的是电沉积氧化石墨(下面几个图是不同电压沉积的薄膜)。实在是不知道这个图是什么原因,求大神指导一下~不知道是我薄膜的问题还是说测到了衬底上还是什么其他原因... 1.png 2.png 14.png |
» 猜你喜欢
青岛大学化学化工学院2026年招收调剂硕士研究生
已经有0人回复
2026年宁波工程学院招收硕士研究生(调剂)
已经有6人回复
物理化学论文润色/翻译怎么收费?
已经有111人回复
山东科技大学化工学院泰山学者团队招收研究生调剂3-5名,化学工程与技术、化学工程
已经有5人回复
生物与医药专业硕士调剂(河北大学 化学与材料科学学院)
已经有29人回复
河北大学分析化学招收多名调剂考生
已经有29人回复
【2026博士申请】化学、电池、材料
已经有1人回复
杰青/长江团队招收硕士调剂
已经有4人回复
青岛大学化学化工学院2026年招收调剂硕士研究生
已经有0人回复
材料科学与工程 或 材料与化工(专硕)调剂 要求:初试考408
已经有0人回复
298分 070300求调剂
已经有5人回复
» 本主题相关商家推荐: (我也要在这里推广)
lang5200
木虫 (小有名气)
- 应助: 9 (幼儿园)
- 金币: 2109.1
- 红花: 1
- 帖子: 159
- 在线: 165.8小时
- 虫号: 1427413
- 注册: 2011-10-04
- 性别: GG
- 专业: 聚合物共混与复合材料

2楼2013-03-06 19:30:01
lang5200
木虫 (小有名气)
- 应助: 9 (幼儿园)
- 金币: 2109.1
- 红花: 1
- 帖子: 159
- 在线: 165.8小时
- 虫号: 1427413
- 注册: 2011-10-04
- 性别: GG
- 专业: 聚合物共混与复合材料

3楼2013-03-07 13:47:02














回复此楼