24小时热门版块排行榜    

Znn3bq.jpeg
汕头大学海洋科学接受调剂
查看: 990  |  回复: 0

方书磊

至尊木虫 (正式写手)

[求助] 请大家帮帮忙看看这道关于Gibbs-Duhem方程的推导题

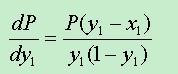
用Gibbs-Duhem方程怎么推导下面这个公式?
这个公式是二组元定温低压下气液平衡的共存方程,气相可做理想气体处理

11111.jpg
回复此楼
进攻是最好的防守
已阅   回复此楼   关注TA 给TA发消息 送TA红花 TA的回帖

智能机器人

Robot (super robot)

我们都爱小木虫

找到一些相关的精华帖子,希望有用哦~

科研从小木虫开始,人人为我,我为人人
相关版块跳转 我要订阅楼主 方书磊 的主题更新
最具人气热帖推荐 [查看全部] 作者 回/看 最后发表
[考研] 复试调剂 +17 积极向上; 2026-04-10 19/950 2026-04-13 19:53 by 闲人终南山
[考研] 人工智能320调剂08工类还有机会吗 +15 振—TZ 2026-04-10 16/800 2026-04-13 14:11 by 张zhihao
[考研] 一志愿华工085600 331分 +7 天下ww 2026-04-09 7/350 2026-04-13 09:01 by lhj2009
[考研] 368化学求调剂 +14 wwwwabcde 2026-04-07 15/750 2026-04-13 08:36 by lhj2009
[考研] 305求调剂 +6 77Qi 2026-04-07 6/300 2026-04-12 02:30 by 秋豆菜芽
[找工作] 山东高校教师考核超级无底线,员工过不下去啦 +4 qut2026 2026-04-09 9/450 2026-04-12 00:54 by qut2026
[考研] 280求调剂 +13 wzzz王 2026-04-09 13/650 2026-04-12 00:31 by 勇攀高峰0126
[考研] 一志愿厦大0856,306求调剂 +15 Bblinging 2026-04-11 15/750 2026-04-11 22:53 by 314126402
[考研] 267求调剂 +8 再忙也要吃饭啊 2026-04-09 8/400 2026-04-11 21:42 by cfdbai
[教师之家] 请问地理、遥感方面,可以做哪些横向项目啊,纵向完不成考核啊 +3 锦衣卫寒战 2026-04-07 5/250 2026-04-11 20:51 by 豫椒
[考研] 电子信息279求调剂,有书读就行 +8 wwwooden 2026-04-08 11/550 2026-04-11 20:22 by cq2548
[考研] 085410 273分调剂 +4 X1999 2026-04-09 4/200 2026-04-11 13:05 by pies112
[考研] 293求调剂 +6 勇远库爱314 2026-04-08 6/300 2026-04-11 10:08 by zhq0425
[考研] 本科211 工科085400 280分求调剂 可跨专业 +11 LZH(等待调剂中 2026-04-10 11/550 2026-04-11 08:39 by zhq0425
[考研] 284求调剂 +9 让我上岸吧阿西 2026-04-09 11/550 2026-04-10 19:18 by 靖jing
[考研] 085404 298分求调剂 +10 呼啦呼啦呼呼呼 2026-04-10 11/550 2026-04-10 16:44 by wangy0907
[考研] 298求调剂 +13 钉叮咚冬瓜 2026-04-09 13/650 2026-04-10 15:49 by jiajinhpu
[考研] 一志愿沪9,326生物学求相关专业调剂 +4 刘墨墨 2026-04-09 4/200 2026-04-10 12:07 by pengliang8036
[考研] 085404,285分求调剂 +12 薇薇考研 2026-04-07 14/700 2026-04-09 23:10 by parmtree
[考研] 电子信息346 +4 zuoshaodian 2026-04-08 4/200 2026-04-08 11:54 by zzucheup
信息提示
请填处理意见