24小时热门版块排行榜    

查看: 376  |  回复: 0

唐七颗糖

铁虫 (初入文坛)

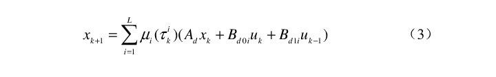
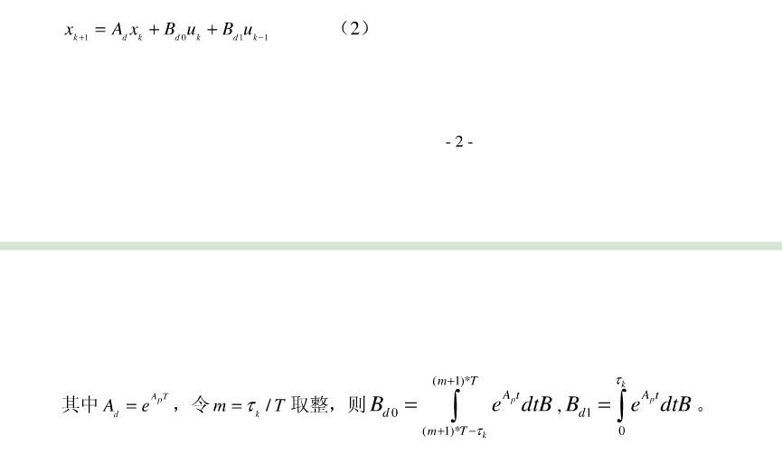
[求助] 求助基于时延的离散状态空间模型-模糊控制器的仿真代码

新手求助。
仿真Ad,以及相应的模糊集合的系数矩阵怎么用MATLAB求。求程序代码。
就是图1上的那几个矩阵,谢谢!

1.jpg



2.jpg



3.jpg
回复此楼
已阅   回复此楼   关注TA 给TA发消息 送TA红花 TA的回帖
相关版块跳转 我要订阅楼主 唐七颗糖 的主题更新
最具人气热帖推荐 [查看全部] 作者 回/看 最后发表
[找工作] 售SCI一区文章,我:8 O5 51O 54,科目齐全 +4 2h7du0nuhk 2026-02-07 7/350 2026-02-08 07:46 by vs90ilomwc
[公派出国] 售SCI一区文章,我:8 O5 51O 54,科目齐全 +4 2h7du0nuhk 2026-02-07 8/400 2026-02-08 07:32 by vs90ilomwc
[考博] 售SCI一区文章,我:8 O5 51O 54,科目齐全 +4 2h7du0nuhk 2026-02-07 8/400 2026-02-08 07:27 by vs90ilomwc
[教师之家] 售SCI一区文章,我:8 O5 51O 54,科目齐全 +4 2h7du0nuhk 2026-02-07 8/400 2026-02-08 07:26 by vs90ilomwc
[硕博家园] 博士延得我,科研能力直往上蹿 +8 偏振片 2026-02-02 8/400 2026-02-08 06:52 by liyeqik
[考博] 售SCI一区文章,我:8 O5 51O 54,科目齐全 +3 5lbyq5wrhb 2026-02-07 3/150 2026-02-08 02:52 by vs90ilomwc
[论文投稿] 售SCI一区文章,我:8 O5 51O 54,科目齐全 +3 3rkserf6qr 2026-02-07 4/200 2026-02-08 02:45 by vs90ilomwc
[硕博家园] 售SCI一区文章,我:8 O5 51O 54,科目齐全 +3 3rkserf6qr 2026-02-07 3/150 2026-02-08 02:32 by vs90ilomwc
[硕博家园] 售SCI一区文章,我:8 O5 51O 54,科目齐全 +5 2h7du0nuhk 2026-02-07 5/250 2026-02-08 02:27 by vs90ilomwc
[考博] 售SCI一区文章,我:8 O5 51O 54,科目齐全 +5 2h7du0nuhk 2026-02-07 5/250 2026-02-08 02:25 by vs90ilomwc
[硕博家园] 售SCI一区文章,我:8 O5 51O 54,科目齐全 +4 2h7du0nuhk 2026-02-07 5/250 2026-02-08 02:12 by vs90ilomwc
[考博] 售SCI一区文章,我:8 O5 51O 54,科目齐全 +4 2h7du0nuhk 2026-02-07 6/300 2026-02-08 02:07 by vs90ilomwc
[教师之家] 售SCI一区文章,我:8 O5 51O 54,科目齐全 +4 2h7du0nuhk 2026-02-07 6/300 2026-02-08 02:05 by vs90ilomwc
[教师之家] 有院领导为了换新车,用横向课题经费买了俩车 +7 瞬息宇宙 2026-02-04 7/350 2026-02-07 21:47 by tfang
[有机交流] 酰胺脱乙酰基 10+5 chibby 2026-02-03 12/600 2026-02-07 19:29 by 江东闲人
[基金申请] 同年申请2项不同项目,第1个项目里不写第2个项目的信息,可以吗 +4 hitsdu 2026-02-06 4/200 2026-02-07 13:07 by jurkat.1640
[基金申请] 有时候真觉得大城市人没有县城人甚至个体户幸福 +9 苏东坡二世 2026-02-04 10/500 2026-02-07 12:37 by 小毛球
[考博] 天津大学招2026.09的博士生,欢迎大家推荐交流(博导是本人) +4 a793625982 2026-02-05 5/250 2026-02-07 10:57 by a793625982
[公派出国] CSC & MSCA 博洛尼亚大学能源材料课题组博士/博士后招生|MSCA经费充足、排名优 +4 雨念 2026-02-01 6/300 2026-02-06 23:32 by MelissaPon
[基金申请] 面上项目申报 +3 Tide man 2026-02-01 3/150 2026-02-05 22:56 by god_tian
信息提示
请填处理意见