| 查看: 2361 | 回复: 9 | |||||||
melyan木虫 (正式写手)
|
[交流]
发个空泡沫镍cv图,,并问下大家都怎么测试的 已有5人参与
|
|
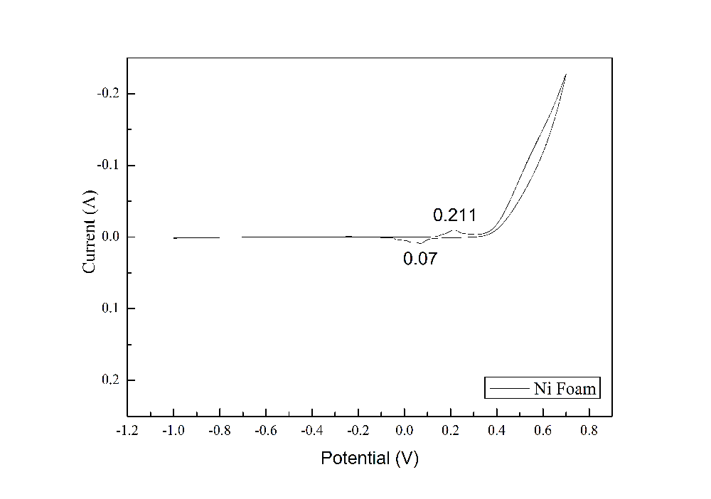
Agcl做参比,手边没有calomel,,6M KOH,, 0上泡沫镍峰很明显,,大家都怎么弄? 用泡沫镍做集流体负载活性物质做测试的时候大于0.5 就上翘, 问问大家的情况,呵呵。 以前用GCE,,头一次摆弄镍泡沫 ni foam whole.gif |
» 收录本帖的淘帖专辑推荐
研究生大杂烩 | 交流 | 锂电技术交流贴 | 电化学电容器 |
» 猜你喜欢
海南师范大学2026年博士研究生招收 (在职想提升学历人员可报考) 申请考核制
已经有0人回复
锂离子电池循环寿命衰减过快,求机理分析与改进思路
已经有2人回复
物理化学论文润色/翻译怎么收费?
已经有112人回复
求博导收留
已经有6人回复
CSC & MSCA 博洛尼亚大学能源材料课题组博士/博士后招生|MSCA经费充足、排名优
已经有6人回复
德国Karlsruhe Institute of Technology招收电化学储能及联合培养CSC博士等
已经有20人回复
德国Karlsruhe Institute of Technology招收电化学储能及联合培养CSC博士
已经有23人回复
德国Karlsruhe Institute of Technology招收电化学储能及联合培养CSC博士
已经有1人回复
固态锂金属电池迁移数计算求助
已经有1人回复
荷兰奈梅亨大学赵文博与Galimberti课题组招收理论计算CSC博士 2000 欧元/月+房补
已经有0人回复
26储能博士申请自荐
已经有20人回复
melyan
木虫 (正式写手)
- 应助: 14 (小学生)
- 金币: 1879.7
- 散金: 32
- 红花: 4
- 帖子: 446
- 在线: 624.4小时
- 虫号: 410476
- 注册: 2007-06-23
- 专业: 药物材料
2楼2013-02-04 14:39:22
醋人
至尊木虫 (职业作家)
- 应助: 876 (博后)
- 金币: 16864.6
- 红花: 10
- 帖子: 4098
- 在线: 1199.4小时
- 虫号: 1929790
- 注册: 2012-08-08
- 性别: GG
- 专业: 电化学

3楼2013-02-04 21:07:16
melyan
木虫 (正式写手)
- 应助: 14 (小学生)
- 金币: 1879.7
- 散金: 32
- 红花: 4
- 帖子: 446
- 在线: 624.4小时
- 虫号: 410476
- 注册: 2007-06-23
- 专业: 药物材料
4楼2013-02-04 21:57:44
醋人
至尊木虫 (职业作家)
- 应助: 876 (博后)
- 金币: 16864.6
- 红花: 10
- 帖子: 4098
- 在线: 1199.4小时
- 虫号: 1929790
- 注册: 2012-08-08
- 性别: GG
- 专业: 电化学

5楼2013-02-04 23:59:45

6楼2013-02-05 08:38:32
melyan
木虫 (正式写手)
- 应助: 14 (小学生)
- 金币: 1879.7
- 散金: 32
- 红花: 4
- 帖子: 446
- 在线: 624.4小时
- 虫号: 410476
- 注册: 2007-06-23
- 专业: 药物材料
7楼2013-02-05 08:51:21
8楼2013-02-05 16:53:32
zhuting0115
金虫 (小有名气)
- 应助: 3 (幼儿园)
- 金币: 1390
- 红花: 1
- 帖子: 90
- 在线: 151.4小时
- 虫号: 441726
- 注册: 2007-10-27
- 性别: GG
- 专业: 无机纳米化学
9楼2013-02-07 10:04:56
fdjr
金虫 (著名写手)
- 应助: 11 (小学生)
- 金币: 1064.8
- 红花: 1
- 帖子: 2241
- 在线: 19.2小时
- 虫号: 2123945
- 注册: 2012-11-13
- 性别: GG
- 专业: 会计学
10楼2013-02-07 12:48:51













回复此楼
melyan