| 查看: 316 | 回复: 2 | ||
[求助]
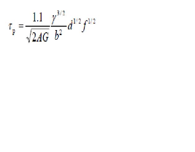
雍岐龙在钢铁中的第二相43页关于Olson的位错切过析出物表达式出自哪篇原始文献
|
||
|
雍岐龙在钢铁材料中的第二相43页中所采用的Olson提出的位错切过析出物的强化作用表达式出自哪篇原始文献,或者公式的作者全名是什么啊? 无标题.png 无标题.png [ Last edited by zzb3558402 on 2013-1-22 at 12:33 ] |
» 猜你喜欢
生物学学硕求调剂
已经有10人回复
上海电力大学材料防护与新材料重点实验室招收调剂研究生(材料、化学、电化学,环境)
已经有4人回复
材料学求调剂
已经有6人回复
303求调剂
已经有5人回复
一志愿武理085500机械专业总分300求调剂
已经有7人回复
考研调剂
已经有4人回复
281求调剂
已经有4人回复
0805 316求调剂
已经有6人回复
085601求调剂总分293英一数二
已经有3人回复
08工学调剂
已经有17人回复
» 本主题相关商家推荐: (我也要在这里推广)
» 本主题相关价值贴推荐,对您同样有帮助:
钢铁材料中的第二相
已经有341人回复
3楼2013-01-25 19:58:30
| 顶一下 |
2楼2013-01-25 19:56:54













回复此楼