| 查看: 912 | 回复: 2 | |
zgt2007木虫 (正式写手)
|
[求助]
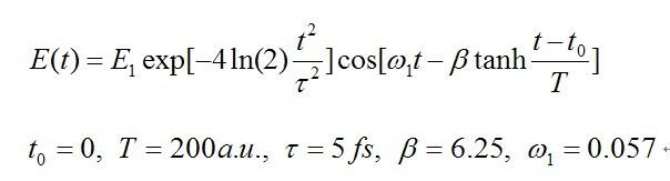
求助:如何计算啁啾脉冲的傅里叶变换限脉冲持续时间?
|
![]() |
|
|
|
|
xiake121新虫 (小有名气)
|
|
|
2楼2013-06-30 08:16:43
|
|
changyuan218木虫 (职业作家)
|
|
|
3楼2013-07-30 11:31:01
|
|













回复此楼
10