| 查看: 2988 | 回复: 10 | |
| 当前只显示满足指定条件的回帖,点击这里查看本话题的所有回帖 | |
死神冥舞铁杆木虫 (初入文坛)
学生
|
[求助]
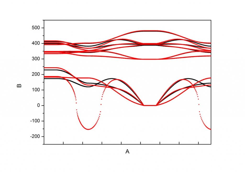
求助pwscf高手,改变k点之后声子谱出现很大虚频
|
![]() |
|
|
|
|
weiyongkai木虫 (职业作家)
|
|
![]() |
|
|
11楼2013-05-07 23:37:08
|
|
| 查看全部 11 个回答 | |
倔强的坚果墙铁杆木虫 (正式写手)
|
|
![]() |
|
|
2楼2013-01-15 15:05:21
|
|
死神冥舞铁杆木虫 (初入文坛)
学生
|
|
![]() |
|
|
3楼2013-01-15 15:10:56
|
|
死神冥舞铁杆木虫 (初入文坛)
学生
|
|
![]() |
|
|
4楼2013-01-15 15:13:16
|
|














回复此楼