| ²é¿´: 1530 | »Ø¸´: 5 | ||
jelly_liuгæ (³õÈëÎÄ̳)
|
[ÇóÖú]
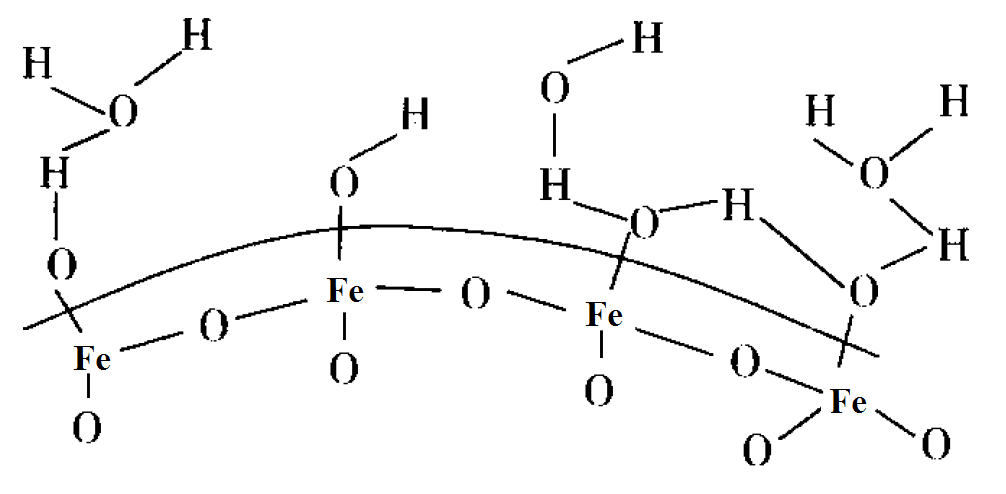
Ñõ»¯Ìú±íÃæµÄôÇ»ùÊÇÔõôÁ¬½ÓµÄ
|
| ÈçÌ⣬Çë½Ì´óÉñ£¬Ñõ»¯Ìú±íÃæµÄôÇ»ùÊÇÔõôÁ¬½ÓÔÚÑõ»¯Ìú±íÃæµÄ£¿ |
» ²ÂÄãϲ»¶
Î人·ÄÖ¯´óѧ-²ÄÁÏ¿ÆÑ§Ó빤³ÌѧԺ-½ªÎ°½ÜÇàÍŶÓ-ÕÐÉúÎï·½Ïòµ÷¼Á
ÒѾÓÐ0È˻ظ´
Î人·ÄÖ¯´óѧ-²ÄÁÏ¿ÆÑ§Ó빤³ÌѧԺ-ÕÐ ÉúÎï·½Ïò ˶ʿ£¡
ÒѾÓÐ0È˻ظ´
Óлú¸ß·Ö×Ó²ÄÁÏÂÛÎÄÈóÉ«/·ÒëÔõôÊÕ·Ñ?
ÒѾÓÐ204È˻ظ´
Î人·ÄÖ¯´óѧ-²ÄÁÏ¿ÆÑ§Ó빤³ÌѧԺ-½ªÎ°½ÜÇàÍŶÓ-ÕÐÉúÎï·½Ïòµ÷¼Á
ÒѾÓÐ0È˻ظ´
[Î人·ÄÖ¯´óѧ]²ÄÁÏѧԺ[½ªÎ°ÍŶÓÃû³Æ]¿ÎÌâ×é-2026Äê˶ʿÑо¿Éúµ÷¼ÁÐÅÏ¢
ÒѾÓÐ0È˻ظ´
Î人·ÄÖ¯´óѧ-²ÄÁÏ¿ÆÑ§Ó빤³ÌѧԺ-½ªÎ°½ÜÇàÍŶÓ-Õе÷¼Á
ÒѾÓÐ0È˻ظ´
ÉúÎïҽѧ²ÄÁÏÇ°ÑØ¿ÆÆÕ£ºµÍÃܶȡ¢¸ß¿×϶Âʵġ°¶à¿×΢Çò¡±ºËÐļ¼ÊõÓëÓ¦ÓÃÈ«¾°
ÒѾÓÐ1È˻ظ´
ºþÄϹ¤Òµ´óѧÖܹóÒú×éÕÐÉúÎïҽѧ¹¤³Ì£¨Ñ§Ë¶07¡¢08¶¼ÐУ©¡¢ÉúÎïÓëÒ½Ò©£¨×¨Ë¶08£©Ë¶Ê¿Éú
ÒѾÓÐ0È˻ظ´
ºþÄϹ¤Òµ´óѧÖܹóÒú×éÕÐÉúÎïҽѧ¹¤³Ì£¨Ñ§Ë¶07¡¢08¶¼ÐУ©ºÍÉúÎïÓëÒ½Ò©£¨×¨Ë¶08£©Ë¶Ê¿Éú
ÒѾÓÐ0È˻ظ´
¿¼ÑÐÇóµ÷¼Á
ÒѾÓÐ0È˻ظ´
2026ÄêÖÐÄÏÃñ×å´óѧ»¯Ñ§Óë²ÄÁÏ¿ÆÑ§Ñ§Ôºµ÷¼Á¹«¸æ
ÒѾÓÐ30È˻ظ´
» ±¾Ö÷ÌâÏà¹Ø¼ÛÖµÌùÍÆ¼ö£¬¶ÔÄúͬÑùÓаïÖú:
Ñõ»¯Ìú¿ÉÒÔת±ä³ÉôÇ»ùÑõ»¯ÌúÂð£¿
ÒѾÓÐ12È˻ظ´
ôÈ»ùºÍ°±»ùÁ¬½Ó£¬²»Ó°ÏìôÇ»ù~~
ÒѾÓÐ7È˻ظ´
ZBPJJ529810
ÖÁ×ðľ³æ (ÖªÃû×÷¼Ò)
Öý½£ÌÃÌÃÖ÷
- ICEPI: 1
- Ó¦Öú: 1377 (½²Ê¦)
- ¹ó±ö: 0.202
- ½ð±Ò: 12822.1
- É¢½ð: 15
- ºì»¨: 62
- ɳ·¢: 1
- Ìû×Ó: 8942
- ÔÚÏß: 663.8Сʱ
- ³æºÅ: 1806864
- ×¢²á: 2012-05-09
- רҵ: ÔªËØ»¯Ñ§
2Â¥2013-01-14 23:12:45
cs104
½ð³æ (ÕýʽдÊÖ)
ÎÒÕ¬£¬¹ÊÎÒ˧£»ÎÒ˧£¬¹ÊÎÒÔÚ¡£
- ICEPI: 10
- Ó¦Öú: 202 (´óѧÉú)
- ¹ó±ö: 0.03
- ½ð±Ò: 1555.7
- É¢½ð: 969
- ºì»¨: 13
- Ìû×Ó: 769
- ÔÚÏß: 201.4Сʱ
- ³æºÅ: 1677211
- ×¢²á: 2012-03-09
- ÐÔ±ð: GG
- רҵ: Åäλ»¯Ñ§
- ¹ÜϽ: ÎÞ»ú/Îﻯ

3Â¥2013-01-15 12:04:16
cs104
½ð³æ (ÕýʽдÊÖ)
ÎÒÕ¬£¬¹ÊÎÒ˧£»ÎÒ˧£¬¹ÊÎÒÔÚ¡£
- ICEPI: 10
- Ó¦Öú: 202 (´óѧÉú)
- ¹ó±ö: 0.03
- ½ð±Ò: 1555.7
- É¢½ð: 969
- ºì»¨: 13
- Ìû×Ó: 769
- ÔÚÏß: 201.4Сʱ
- ³æºÅ: 1677211
- ×¢²á: 2012-03-09
- ÐÔ±ð: GG
- רҵ: Åäλ»¯Ñ§
- ¹ÜϽ: ÎÞ»ú/Îﻯ

4Â¥2013-01-15 12:05:28
ÌÒ»¨ÐÄľ
Ìú¸Ëľ³æ (ÕýʽдÊÖ)
- Ó¦Öú: 4 (Ó×¶ùÔ°)
- ½ð±Ò: 5473.6
- É¢½ð: 20
- ºì»¨: 4
- Ìû×Ó: 535
- ÔÚÏß: 99.6Сʱ
- ³æºÅ: 1288253
- ×¢²á: 2011-05-07
- ÐÔ±ð: MM
- רҵ: »·¾³¹¤³Ì

5Â¥2013-01-15 19:31:28
cs104
½ð³æ (ÕýʽдÊÖ)
ÎÒÕ¬£¬¹ÊÎÒ˧£»ÎÒ˧£¬¹ÊÎÒÔÚ¡£
- ICEPI: 10
- Ó¦Öú: 202 (´óѧÉú)
- ¹ó±ö: 0.03
- ½ð±Ò: 1555.7
- É¢½ð: 969
- ºì»¨: 13
- Ìû×Ó: 769
- ÔÚÏß: 201.4Сʱ
- ³æºÅ: 1677211
- ×¢²á: 2012-03-09
- ÐÔ±ð: GG
- רҵ: Åäλ»¯Ñ§
- ¹ÜϽ: ÎÞ»ú/Îﻯ

6Â¥2013-01-16 08:16:12














»Ø¸´´ËÂ¥