| 查看: 1200 | 回复: 8 | ||
mony888999木虫 (正式写手)
|
[求助]
高分求助作图问题?
|
|
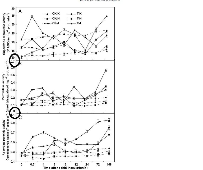
我用的graphpad prism想做出这样的图 我无法解决坐标问题,圈圈里面的 不知道怎么弄 我放在一起会重叠到一起。 ![]() ![]() 新建位图图像.jpg [ 来自科研家族 园林植物与观赏园艺 ] |
» 猜你喜欢
085602 307分 求调剂
已经有3人回复
340求调剂
已经有4人回复
085602 化工专硕 338分 求调剂
已经有8人回复
328求调剂
已经有6人回复
求调剂
已经有6人回复
一志愿 西北大学 总分282 英语一62 求调剂
已经有8人回复
0703化学
已经有4人回复
289求调剂
已经有6人回复
291求调剂
已经有17人回复
材料与化工085600,总分304,本科有两篇sci参与,求调剂
已经有12人回复
» 本主题相关价值贴推荐,对您同样有帮助:
高分求助肿瘤小鼠模型问题
已经有5人回复
高分求助一个考研高数问题,高手请进~!
已经有109人回复
origin作图的问题,求助~
已经有5人回复
求助origin画图问题
已经有4人回复
【求助】ARC9.3作图 问题
已经有7人回复
求助spss作图的问题
已经有7人回复
【求助】请教XRD作图问题
已经有8人回复
【求助】用origin画图问题,请教各位高手。。。
已经有6人回复
【求助】MATLAB多个mat中 数据画图问题
已经有7人回复
【求助】Maple作图坐标轴如何输入特殊符号问题
已经有3人回复
【求助】求教关于mapinfo作图问题
已经有12人回复
【求助】origin7.5作图的问题
已经有5人回复
求助:EXCEL作图问题,散金币感谢
已经有12人回复

|
2楼2013-01-10 23:18:19
mony888999
木虫 (正式写手)
- 农林EPI: 1
- 应助: 8 (幼儿园)
- 金币: 2271
- 散金: 157
- 红花: 17
- 帖子: 485
- 在线: 77.1小时
- 虫号: 792674
- 注册: 2009-06-12
- 性别: GG
- 专业: 观赏园艺学

3楼2013-01-11 09:50:02
4楼2013-01-11 15:14:29
北极星
捐助贵宾 (小有名气)
- 应助: 4 (幼儿园)
- 金币: 1283.3
- 红花: 1
- 帖子: 299
- 在线: 69.4小时
- 虫号: 163278
- 注册: 2006-01-11
- 性别: GG
- 专业: 果树学

5楼2013-01-11 15:37:42
mony888999
木虫 (正式写手)
- 农林EPI: 1
- 应助: 8 (幼儿园)
- 金币: 2271
- 散金: 157
- 红花: 17
- 帖子: 485
- 在线: 77.1小时
- 虫号: 792674
- 注册: 2009-06-12
- 性别: GG
- 专业: 观赏园艺学

6楼2013-01-11 16:16:36
mony888999
木虫 (正式写手)
- 农林EPI: 1
- 应助: 8 (幼儿园)
- 金币: 2271
- 散金: 157
- 红花: 17
- 帖子: 485
- 在线: 77.1小时
- 虫号: 792674
- 注册: 2009-06-12
- 性别: GG
- 专业: 观赏园艺学

7楼2013-01-11 16:17:25
8楼2013-01-11 17:24:56
mony888999
木虫 (正式写手)
- 农林EPI: 1
- 应助: 8 (幼儿园)
- 金币: 2271
- 散金: 157
- 红花: 17
- 帖子: 485
- 在线: 77.1小时
- 虫号: 792674
- 注册: 2009-06-12
- 性别: GG
- 专业: 观赏园艺学

9楼2013-01-12 15:48:27















回复此楼

多谢!