| ²é¿´: 3442 | »Ø¸´: 7 | ||
cindyweiľ³æ (³õÈëÎÄ̳)
|
[ÇóÖú]
VASP¼ÆËãÎȶ¨ÌåϵµÄÁãµãÄÜΪʲôҲ»á³öÏÖÐ鯵£¿
|
|
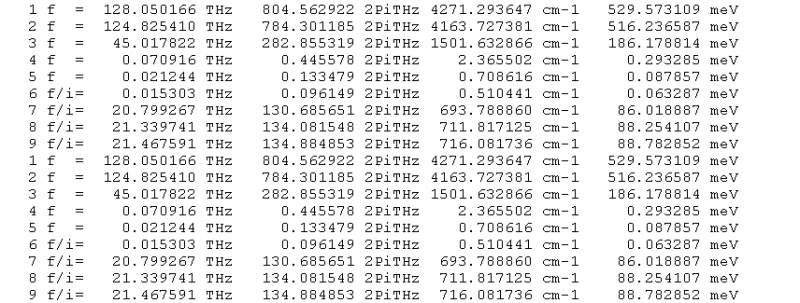
×î½üÓÃVASP¼ÆËãGammaµãµÄÁãµãÄÜ×öУÕý£¬Ô±¾ÈÈÁ¦Ñ§¼°Á¦Ñ§É϶¼ÄÜÎȶ¨´æÔÚµÄîÙÇ⻯ºÏÎïÓÐЩ³É·Öµã³öÏÖÁËÐ鯵£¬ÊÇÄÄÀï³öÏÖÎÊÌâÁËÂ𣿠INCARÉèÖà ISTART = 0 ICHARG = 2 ENCUT = 450 ISMEAR = 0 PREC = A EDIFF = 1E-6 EDIFFG = -0.001 NSW = 1 IBRION = 5 POTIM = 0.015 NFREE = 2 OUTCAR 1 f = 20.970164 THz 131.759427 2PiTHz 699.489360 cm-1 86.725659 meV 2 f/i= 15.743741 THz 98.920841 2PiTHz 525.154652 cm-1 65.110902 meV 3 f/i= 15.775374 THz 99.119597 2PiTHz 526.209815 cm-1 65.241726 meV |
» ²ÂÄãϲ»¶
ÊÛSCIÒ»ÇøÎÄÕ£¬ÎÒ:8 O5 51O 54,¿ÆÄ¿ÆëÈ«,¿É+¼±
ÒѾÓÐ7È˻ظ´
ÊÛSCIÒ»ÇøÎÄÕ£¬ÎÒ:8 O5 51O 54,¿ÆÄ¿ÆëÈ«,¿É+¼±
ÒѾÓÐ8È˻ظ´
ÊÛSCIÒ»ÇøÎÄÕ£¬ÎÒ:8 O5 51O 54,¿ÆÄ¿ÆëÈ«,¿É+¼±
ÒѾÓÐ8È˻ظ´
ÊÛSCIÒ»ÇøÎÄÕ£¬ÎÒ:8 O5 51O 54,¿ÆÄ¿ÆëÈ«,¿É+¼±
ÒѾÓÐ11È˻ظ´
ΪʲôÖйú´óѧ¹¤¿Æ½ÌÊÚÃÇË®ÁËÄÇô¶àËùνµÄ¶¥»á¶¥¿¯£¬µ«»¹ÊÇ×ö²»³öÓîÊ÷»úÆ÷ÈË£¿
ÒѾÓÐ8È˻ظ´
ÊÛSCIÒ»ÇøÎÄÕ£¬ÎÒ:8 O5 51O 54,¿ÆÄ¿ÆëÈ«,¿É+¼±
ÒѾÓÐ5È˻ظ´
ÊÛSCIÒ»ÇøÎÄÕ£¬ÎÒ:8 O5 51O 54,¿ÆÄ¿ÆëÈ«,¿É+¼±
ÒѾÓÐ6È˻ظ´
ÊÛSCIÒ»ÇøÎÄÕ£¬ÎÒ:8 O5 51O 54,¿ÆÄ¿ÆëÈ«,¿É+¼±
ÒѾÓÐ9È˻ظ´
ÊÛSCIÒ»ÇøÎÄÕ£¬ÎÒ:8 O5 51O 54,¿ÆÄ¿ÆëÈ«,¿É+¼±
ÒѾÓÐ4È˻ظ´
ÊÛSCIÒ»ÇøÎÄÕ£¬ÎÒ:8 O5 51O 54,¿ÆÄ¿ÆëÈ«,¿É+¼±
ÒѾÓÐ5È˻ظ´
» ±¾Ö÷ÌâÏà¹Ø¼ÛÖµÌùÍÆ¼ö£¬¶ÔÄúͬÑùÓаïÖú:
VASP½ÓFROPHO¼ÆËãH2ʱÉù×ÓÆ×ÓÐÐ鯵Ôõô°ì
ÒѾÓÐ20È˻ظ´
tider
ľ³æ (ÕýʽдÊÖ)
- Ó¦Öú: 8 (Ó×¶ùÔ°)
- ½ð±Ò: 1950.4
- É¢½ð: 40
- ºì»¨: 5
- Ìû×Ó: 313
- ÔÚÏß: 87.2Сʱ
- ³æºÅ: 1190614
- ×¢²á: 2011-01-16
- ÐÔ±ð: GG
- רҵ: Äý¾Û̬ÎïÐÔ II £ºµç×ӽṹ
¡¾´ð°¸¡¿Ó¦Öú»ØÌû
¡ï ¡ï ¡ï ¡ï ¡ï ¡ï ¡ï
franch: ½ð±Ò+2, лл»ØÌû½»Á÷£¬£¬ 2013-04-22 20:41:32
cindywei: ½ð±Ò+5, ¡ï¡ï¡ïºÜÓаïÖú 2013-04-27 11:44:45
franch: ½ð±Ò+2, лл»ØÌû½»Á÷£¬£¬ 2013-04-22 20:41:32
cindywei: ½ð±Ò+5, ¡ï¡ï¡ïºÜÓаïÖú 2013-04-27 11:44:45
|
http://wolverton.northwestern.ed ... phonon-calculations One drawback of the frozen-phonon method is that large supercells are needed to accurately calculate the force constant matrix. The periodic boundary conditions used in DFT calculations cause problems for the frozen phonon method. Displacing one atom in a small unit cell creates forces on all the atoms in the same unit cell, but also on the periodic images of these atoms. |
2Â¥2013-04-18 10:59:53
ÁõСΰ110
ľ³æ (СÓÐÃûÆø)
- Ó¦Öú: 0 (Ó×¶ùÔ°)
- ½ð±Ò: 1635.7
- É¢½ð: 51
- Ìû×Ó: 256
- ÔÚÏß: 120.5Сʱ
- ³æºÅ: 2096954
- ×¢²á: 2012-10-30
- רҵ: ÀíÂۺͼÆË㻯ѧ
|
cindyweiÄúºÃ£¬ÎÒÏëÎÊÄúÒ»¸öÎÊÌâ¾ÍÊÇÎÒÒª×öÁãµãÄÜУÕýµÄ»°£¬°´E=1/2hv¹«Ê½£¬°ÑËùÓÐÆµÂʵÄÄÜÁ¿Ïà¼Ó£¬´óÔ¼¾ÍÊÇ0.7eV£¬°´Àí˵£¬ÁãµãÄÜУÕýµÄ»°£¬²»»áÊÇÕâô´óµÄÖµ£¬Ò²¾ÍÊÇ0.02eV£¬ÊDz»ÊÇÕâÖмÆËã·½·¨ÓÐÎóÄØ£¿ ÎÒÈç¹ûÒª¶ÔÆøÌ¬·Ö×ÓÎü¸½Ì¬½øÐÐÁãµãÄÜУÕýµÄ»°£¬±ÈÈçH2OÔÚCuÉϵÄÎü¸½£¬Òª¼ÆËãÆµÂÊ£¬ÎÒÊDz»ÊÇÓ¦¸Ã°ÑH2OºÍCuµÄµÚÒ»²ãÔ×Ó³ÚÔ¥£¬°ÑËùÓÐµÄÆµÂʵÄÄÜÁ¿Ïà¼Ó£¬¾ÍËãÊÇÁãµãÄÜÄØ£¿ÊDz»ÊÇÓ¦¸Ã°ÑCuÔ×Ó³ÚÔ¥µÄƵÂÊÈ¥µô£¬Ö»¼ÓH2OµÄƵÂÊÄØ£¬µ«ÊÇÄÇÑùµÄ»°£¬ÎÒ¸ù±¾¾Í²»ÄÜ´ÓËùÓÐµÄÆµÂÊÖÐÇø·ÖH2OºÍCuµÄƵÂʰ¡£¿ ×î½üÉõÊÇ¿àÄÕ°¡£¬»¹ÍûÄúÄÜÖ¸µãÃÔ½ò£¬ÆÚ´ýÄúµÄ»Ø¸´£¬ÔÚ´Ë£¬Íò·Ö¸Ðл¡£¡£¡£ |

3Â¥2014-01-02 16:16:15
cindywei
ľ³æ (³õÈëÎÄ̳)
- Ó¦Öú: 3 (Ó×¶ùÔ°)
- ½ð±Ò: 3064.5
- ºì»¨: 8
- Ìû×Ó: 38
- ÔÚÏß: 89.6Сʱ
- ³æºÅ: 1821593
- ×¢²á: 2012-05-16
- רҵ: ½ðÊô¹¦ÄܲÄÁÏ
|
¼ÆËãÁãµãÄܵķ½·¨ÓкܶàÖÖ°É£¬Èç¹ûÄãÖ»¿¼ÂÇÇáÖʵÄH¼°OµÄÁãµãÄܵϰ£¬¿ÉÒÔÔÚPOSCARÑ¡ÔñH¼°O²»¹Ì¶¨¶øCu¹Ì¶¨£¬ÕâÖÖ¼ÆËã²»ÍêÈ«µÈͬÓÚ¾§¸ñÓÅ»¯µÄ³ÚÔ¥£¬ÊÇÿ¸ö²»¹Ì¶¨Ô×Ó°´Ìض¨¼¸¸ö·½ÏòÓÐÏ޵ijÚÔ¥À´»ñµÃÆäÁãµãÕñ¶¯ÄÜ¡£ÎÒ¸ú¸öINCARµÄÉèÖã¬Äã¿ÉÒÔͨ¹ý²ÎÊýÀ´Àí½âһϣ¬Ï£Íû¶ÔÄãÓÐÓà ISTART = 0 ICHARG = 2 ENCUT = 375 ISMEAR = 0 PREC = A EDIFF = 1E-7 EDIFFG = -0.001 NSW = 1 IBRION = 5 POTIM = 0.015 NFREE = 2 |
» ±¾ÌûÒÑ»ñµÃµÄºì»¨£¨×îÐÂ10¶ä£©
4Â¥2014-01-03 08:19:33
ÁõСΰ110
ľ³æ (СÓÐÃûÆø)
- Ó¦Öú: 0 (Ó×¶ùÔ°)
- ½ð±Ò: 1635.7
- É¢½ð: 51
- Ìû×Ó: 256
- ÔÚÏß: 120.5Сʱ
- ³æºÅ: 2096954
- ×¢²á: 2012-10-30
- רҵ: ÀíÂۺͼÆË㻯ѧ
Ëͺ컨һ¶ä 
5Â¥2014-01-03 21:55:25
cindywei
ľ³æ (³õÈëÎÄ̳)
- Ó¦Öú: 3 (Ó×¶ùÔ°)
- ½ð±Ò: 3064.5
- ºì»¨: 8
- Ìû×Ó: 38
- ÔÚÏß: 89.6Сʱ
- ³æºÅ: 1821593
- ×¢²á: 2012-05-16
- רҵ: ½ðÊô¹¦ÄܲÄÁÏ
6Â¥2014-01-04 16:25:07
ÁõСΰ110
ľ³æ (СÓÐÃûÆø)
- Ó¦Öú: 0 (Ó×¶ùÔ°)
- ½ð±Ò: 1635.7
- É¢½ð: 51
- Ìû×Ó: 256
- ÔÚÏß: 120.5Сʱ
- ³æºÅ: 2096954
- ×¢²á: 2012-10-30
- רҵ: ÀíÂۺͼÆË㻯ѧ

7Â¥2014-01-04 20:49:39
cindywei
ľ³æ (³õÈëÎÄ̳)
- Ó¦Öú: 3 (Ó×¶ùÔ°)
- ½ð±Ò: 3064.5
- ºì»¨: 8
- Ìû×Ó: 38
- ÔÚÏß: 89.6Сʱ
- ³æºÅ: 1821593
- ×¢²á: 2012-05-16
- רҵ: ½ðÊô¹¦ÄܲÄÁÏ
|
ÊÇÏȰÑÕû¸ö½á¹¹³ÚÔ¥ÓÅ»¯»ñµÃ×îÓÅ»¯½á¹¹£¬È»ºó¶ÔÓÅ»¯½á¹¹Ñ¡Ôñ²¿·ÖÔ×ÓÕñ¶¯µÄ³ÚÔ¥¡£ÁãµãÄÜÖ÷ÒªÓÃÀ´ÐÞÕý°É£¬¼ÆË㹫ʽÄã¿ÉÒԲο¼¸ÃÎÄÕ¼°ÆäÒýÓÃÎÄÏ×£¬×Ô¼º¶àËÑһЩ°É£¬±íÃæÎü¸½¿¼ÂÇÁãµãÄܵĺܶࡣhttp://www.sciencedirect.com/sci ... i/S0360319913024518 |
8Â¥2014-01-07 10:51:54













»Ø¸´´ËÂ¥