| 查看: 426 | 回复: 0 | ||
[求助]
有熟悉偏微分方程粘性解的吗?烦请看一下,求帮忙
|
|
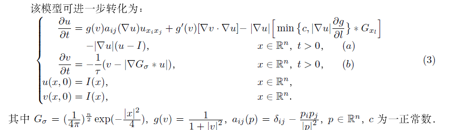
本人最近写了篇文章,里面要用到耦合偏微分方程粘性解的定义,方程组及定义如下,审稿人说我的定义有问题,应该u和v一起定义,该怎么修改啊?请高手指点,万分感谢! [ Last edited by lucky5j on 2012-12-28 at 22:42 ] |
» 猜你喜欢
AI 太可怕了,写基金时,提出想法,直接生成的文字比自己想得深远,还有科学性
已经有6人回复
有院领导为了换新车,用横向课题经费买了俩车
已经有9人回复
酰胺脱乙酰基
已经有13人回复
博士延得我,科研能力直往上蹿
已经有8人回复
同年申请2项不同项目,第1个项目里不写第2个项目的信息,可以吗
已经有4人回复
有时候真觉得大城市人没有县城人甚至个体户幸福
已经有10人回复
天津大学招2026.09的博士生,欢迎大家推荐交流(博导是本人)
已经有5人回复
遇见不省心的家人很难过
已经有22人回复













回复此楼